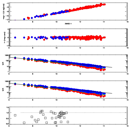
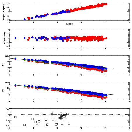
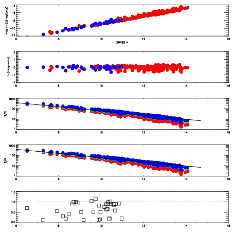
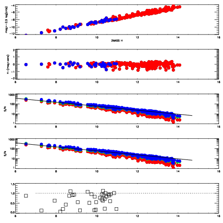
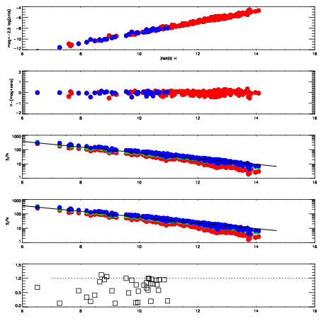
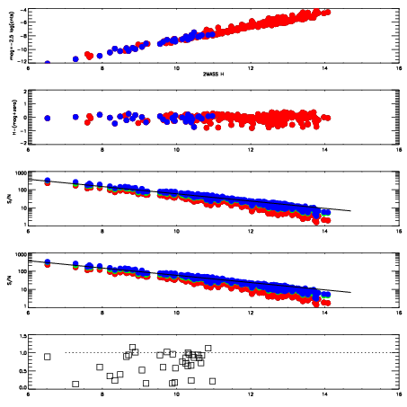
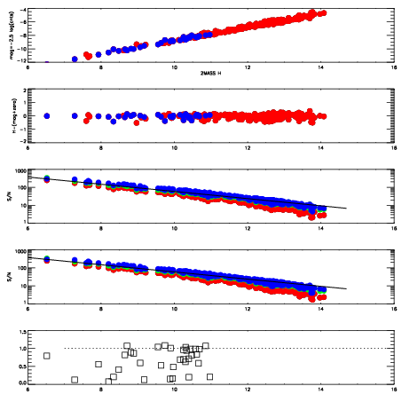
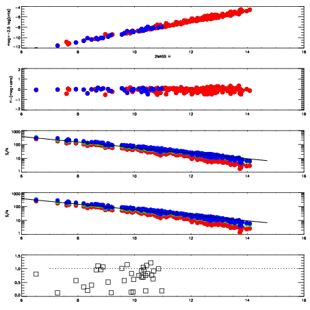
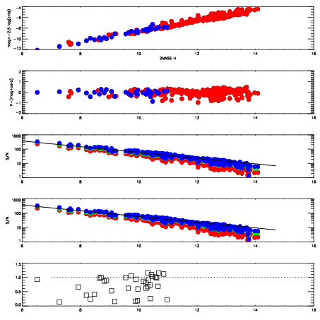
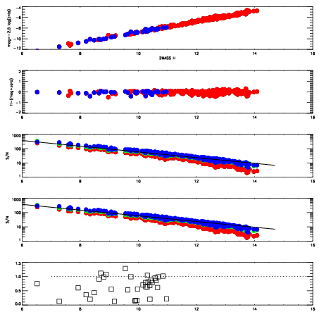
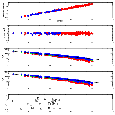
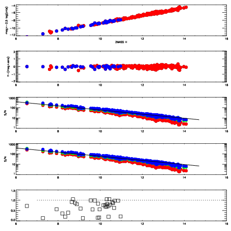
Frame | Nreads | Zeropoints | Mag plots
| Spatial mag deviation
| Spatial sky 16325A emission deviations (filled: sky, open: star)
| Spatial sky continuum emission
| Spatial sky telluric CO2 absorption deviations (filled: H < 10)
|
7850092
| 47
| | Red | Green | Blue
| z | | 18.63
| znorm | | 14.45
| sky | 15.1 | 14.7 | 14.5
| S/N | 11.5 | 18.7 | 21.2
| S/N(c) | 11.7 | 25.7 | 15.5
| SN(E/C) | 0.81
|
|
|
|
|
|
|
7850093
| 47
| | Red | Green | Blue
| z | | 18.68
| znorm | | 14.50
| sky | 15.1 | 14.7 | 15.1
| S/N | 11.6 | 19.4 | 22.0
| S/N(c) | 11.8 | 25.9 | 15.7
| SN(E/C) | 0.76
|
|
|
|
|
|
|
7850094
| 47
| | Red | Green | Blue
| z | | 18.78
| znorm | | 14.60
| sky | 15.3 | 14.8 | 15.0
| S/N | 12.5 | 20.9 | 23.0
| S/N(c) | 12.6 | 27.4 | 16.5
| SN(E/C) | 0.77
|
|
|
|
|
|
|
7850095
| 47
| | Red | Green | Blue
| z | | 18.80
| znorm | | 14.62
| sky | 15.5 | 14.9 | 15.1
| S/N | 12.9 | 20.7 | 23.6
| S/N(c) | 13.1 | 27.6 | 17.1
| SN(E/C) | 0.73
|
|
|
|
|
|
|
7850096
| 47
| | Red | Green | Blue
| z | | 18.87
| znorm | | 14.69
| sky | 15.2 | 14.9 | 15.1
| S/N | 13.3 | 21.3 | 24.7
| S/N(c) | 13.4 | 28.8 | 17.6
| SN(E/C) | 0.70
|
|
|
|
|
|
|
7850097
| 47
| | Red | Green | Blue
| z | | 18.85
| znorm | | 14.67
| sky | 15.3 | 15.1 | 15.3
| S/N | 13.4 | 21.7 | 24.5
| S/N(c) | 13.5 | 28.8 | 17.5
| SN(E/C) | 0.74
|
|
|
|
|
|
|
7850098
| 47
| | Red | Green | Blue
| z | | 18.84
| znorm | | 14.66
| sky | 15.4 | 15.0 | 15.0
| S/N | 13.2 | 21.1 | 24.2
| S/N(c) | 13.4 | 28.4 | 17.1
| SN(E/C) | 0.75
|
|
|
|
|
|
|
7850099
| 47
| | Red | Green | Blue
| z | | 18.85
| znorm | | 14.67
| sky | 15.5 | 15.1 | 15.0
| S/N | 13.4 | 21.6 | 24.2
| S/N(c) | 13.2 | 28.5 | 17.2
| SN(E/C) | 0.74
|
|
|
|
|
|
|
7850100
| 47
| | Red | Green | Blue
| z | | 18.82
| znorm | | 14.64
| sky | 15.2 | 15.2 | 15.1
| S/N | 13.0 | 21.0 | 23.8
| S/N(c) | 13.0 | 28.2 | 17.1
| SN(E/C) | 0.71
|
|
|
|
|
|
|
7850101
| 47
| | Red | Green | Blue
| z | | 18.86
| znorm | | 14.68
| sky | 15.4 | 15.3 | 15.1
| S/N | 13.6 | 21.7 | 24.3
| S/N(c) | 13.4 | 28.7 | 17.4
| SN(E/C) | 0.76
|
|
|
|
|
|
|
7850102
| 47
| | Red | Green | Blue
| z | | 18.79
| znorm | | 14.61
| sky | 15.2 | 15.2 | 15.4
| S/N | 12.9 | 20.9 | 23.7
| S/N(c) | 13.2 | 27.8 | 16.9
| SN(E/C) | 0.72
|
|
|
|
|
|
|
7850103
| 47
| | Red | Green | Blue
| z | | 18.82
| znorm | | 14.64
| sky | 15.0 | 15.2 | 15.1
| S/N | 13.0 | 21.1 | 24.0
| S/N(c) | 13.2 | 28.0 | 17.2
| SN(E/C) | 0.69
|
|
|
|
|
|
|