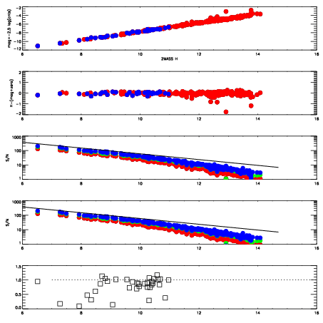
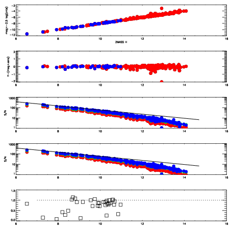
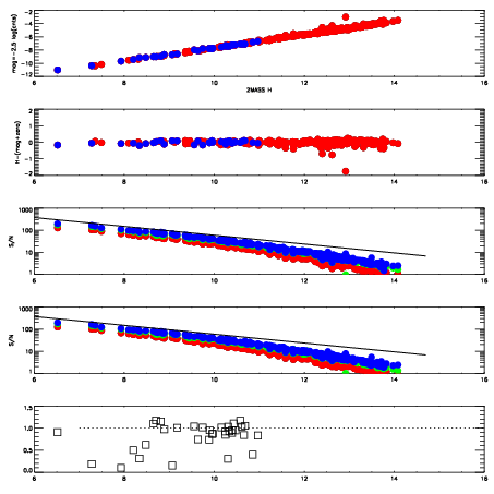
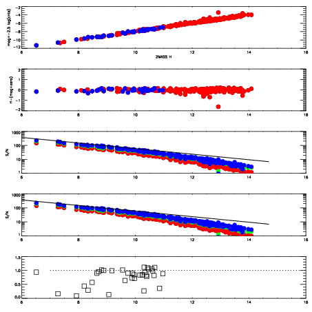
Frame | Nreads | Zeropoints | Mag plots
| Spatial mag deviation
| Spatial sky 16325A emission deviations (filled: sky, open: star)
| Spatial sky continuum emission
| Spatial sky telluric CO2 absorption deviations (filled: H < 10)
|
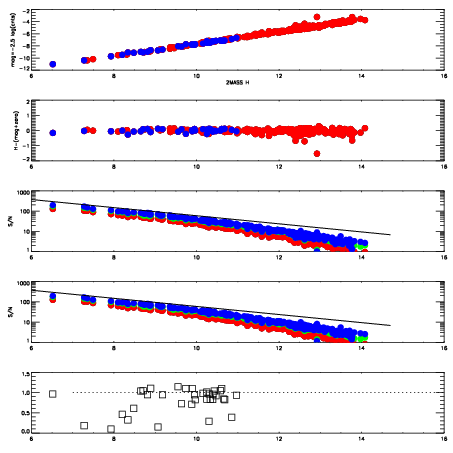
5210037
| 47
| | Red | Green | Blue
| z | | 18.05
| znorm | | 13.87
| sky | 13.1 | 13.0 | 13.0
| S/N | 7.8 | 12.4 | 13.0
| S/N(c) | 10.0 | 17.2 | 23.6
| SN(E/C) | 0.84
|
|
|
|
|
|
|
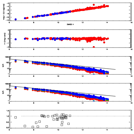
5210038
| 47
| | Red | Green | Blue
| z | | 18.16
| znorm | | 13.98
| sky | 13.1 | 12.9 | 13.0
| S/N | 8.1 | 13.2 | 13.8
| S/N(c) | 10.4 | 18.5 | 26.0
| SN(E/C) | 0.88
|
|
|
|
|
|
|
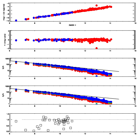
5210039
| 47
| | Red | Green | Blue
| z | | 17.93
| znorm | | 13.75
| sky | 13.3 | 13.2 | 13.2
| S/N | 6.9 | 11.7 | 12.3
| S/N(c) | 9.3 | 16.7 | 23.4
| SN(E/C) | 0.88
|
|
|
|
|
|
|
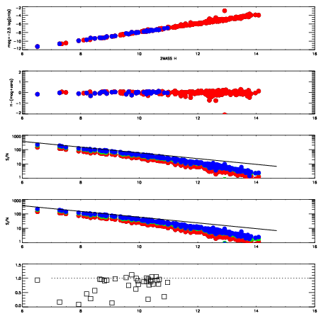
5210040
| 47
| | Red | Green | Blue
| z | | 17.91
| znorm | | 13.73
| sky | 13.4 | 13.2 | 13.3
| S/N | 6.8 | 11.6 | 12.2
| S/N(c) | 9.3 | 16.4 | 23.4
| SN(E/C) | 0.85
|
|
|
|
|
|
|
5210041
| 47
| | Red | Green | Blue
| z | | 17.68
| znorm | | 13.50
| sky | 13.5 | 13.4 | 13.4
| S/N | 5.6 | 10.2 | 10.6
| S/N(c) | 8.1 | 15.3 | 20.9
| SN(E/C) | 0.92
|
|
|
|
|
|
|
5210042
| 47
| | Red | Green | Blue
| z | | 17.68
| znorm | | 13.50
| sky | 13.7 | 13.5 | 13.5
| S/N | 5.8 | 10.2 | 10.9
| S/N(c) | 8.0 | 14.8 | 20.9
| SN(E/C) | 0.94
|
|
|
|
|
|
|
5210043
| 47
| | Red | Green | Blue
| z | | 17.96
| znorm | | 13.78
| sky | 13.6 | 13.5 | 13.5
| S/N | 7.3 | 12.5 | 13.3
| S/N(c) | 9.7 | 17.2 | 24.7
| SN(E/C) | 0.84
|
|
|
|
|
|
|
5210044
| 47
| | Red | Green | Blue
| z | | 17.75
| znorm | | 13.57
| sky | 13.6 | 13.4 | 13.5
| S/N | 6.3 | 10.8 | 11.4
| S/N(c) | 8.4 | 15.3 | 21.9
| SN(E/C) | 0.87
|
|
|
|
|
|
|