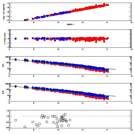
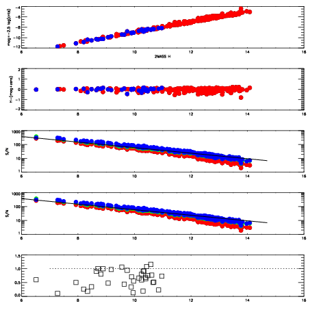
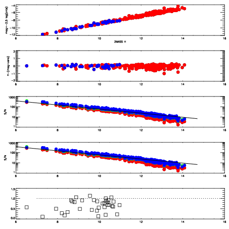
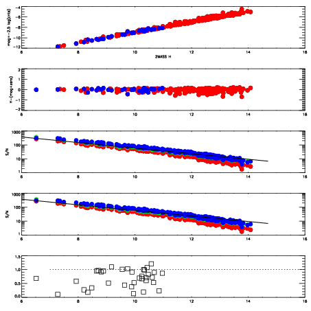
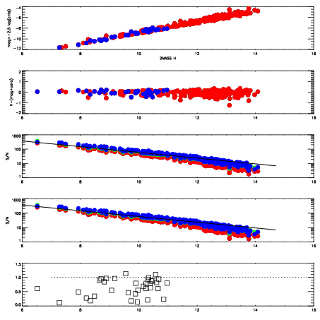
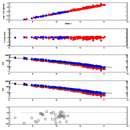
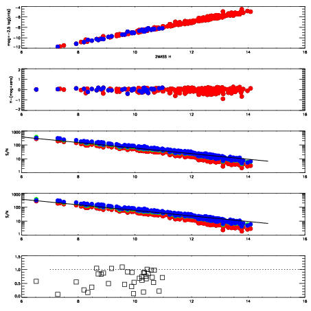
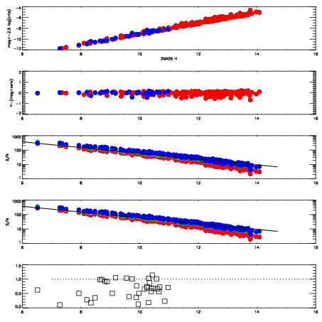
Frame | Nreads | Zeropoints | Mag plots
| Spatial mag deviation
| Spatial sky 16325A emission deviations (filled: sky, open: star)
| Spatial sky continuum emission
| Spatial sky telluric CO2 absorption deviations (filled: H < 10)
|
8770032
| 47
| | Red | Green | Blue
| z | | 18.86
| znorm | | 14.68
| sky | 14.2 | 14.0 | 14.0
| S/N | 14.9 | 23.2 | 24.6
| S/N(c) | 21.1 | 18.4 | 15.7
| SN(E/C) | 0.69
|
|
|
|
|
|
|
8770033
| 47
| | Red | Green | Blue
| z | | 18.95
| znorm | | 14.77
| sky | 14.1 | 14.0 | 14.2
| S/N | 15.3 | 24.8 | 26.4
| S/N(c) | 22.6 | 19.6 | 16.8
| SN(E/C) | 0.68
|
|
|
|
|
|
|
8770034
| 47
| | Red | Green | Blue
| z | | 18.96
| znorm | | 14.78
| sky | 14.2 | 14.0 | 14.1
| S/N | 15.0 | 24.6 | 26.1
| S/N(c) | 22.9 | 20.1 | 17.1
| SN(E/C) | 0.71
|
|
|
|
|
|
|
8770035
| 47
| | Red | Green | Blue
| z | | 18.96
| znorm | | 14.78
| sky | 14.0 | 13.9 | 14.0
| S/N | 15.1 | 24.4 | 25.9
| S/N(c) | 22.5 | 20.1 | 17.0
| SN(E/C) | 0.66
|
|
|
|
|
|
|
8770036
| 47
| | Red | Green | Blue
| z | | 18.97
| znorm | | 14.79
| sky | 14.0 | 14.0 | 14.0
| S/N | 14.9 | 24.4 | 25.7
| S/N(c) | 23.3 | 20.1 | 17.3
| SN(E/C) | 0.71
|
|
|
|
|
|
|
8770037
| 47
| | Red | Green | Blue
| z | | 19.03
| znorm | | 14.85
| sky | 14.2 | 14.2 | 14.3
| S/N | 15.6 | 25.4 | 26.6
| S/N(c) | 23.8 | 21.1 | 18.2
| SN(E/C) | 0.69
|
|
|
|
|
|
|
8770038
| 47
| | Red | Green | Blue
| z | | 18.99
| znorm | | 14.81
| sky | 14.1 | 14.2 | 14.2
| S/N | 15.3 | 25.2 | 26.3
| S/N(c) | 23.3 | 20.9 | 17.9
| SN(E/C) | 0.66
|
|
|
|
|
|
|
8770039
| 47
| | Red | Green | Blue
| z | | 19.04
| znorm | | 14.86
| sky | 14.3 | 14.2 | 14.2
| S/N | 15.6 | 25.4 | 27.0
| S/N(c) | 23.9 | 21.1 | 18.4
| SN(E/C) | 0.67
|
|
|
|
|
|
|