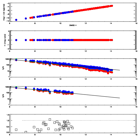
Left plots: red are targets, blue are telluric. Observed mags are calculated from median value of green chip. Zeropoint gives overall throughput: bigger number is more throughput.
First spatial plots: circles are objects, squares are tellurics, crosses are sky fibers. Colors give deviation of observed mag from expected 2MASS mag using the median zeropoint; red is brighter
Second spatial plots: circles are sky fibers. Colors give sky line brightness relative to plate median sky line brightness
FrameNreadsZeropointsMag plots Spatial mag deviation Spatial sky 16325A emission deviations (filled: sky, open: star) Spatial sky continuum emission Spatial sky telluric CO2 absorption deviations (filled: H < 10)
0 0
RedGreenBlue
z17.64
znorm Inf
sky -NaN -Inf -Inf
S/N 29.6 45.4 52.8
S/N(c) 0.0 0.0 0.0
SN(E/C) 0.55

IPAIRNAMESHIFTNEWSHIFTS/N NAMESHIFTNEWSHIFTS/N
0 05240047 0.501609 0.00000 19.1945 05240045 0.00150433 0.500105 19.1797
1 05240046 0.498529 0.00308004 19.2091 05240048 0.00551421 0.496095 19.2064
2 05240043 0.497757 0.00385204 19.1608 05240044 0.00373663 0.497872 19.1497
3 05240042 0.498049 0.00356004 19.1146 05240041 0.00000 0.501609 19.1110