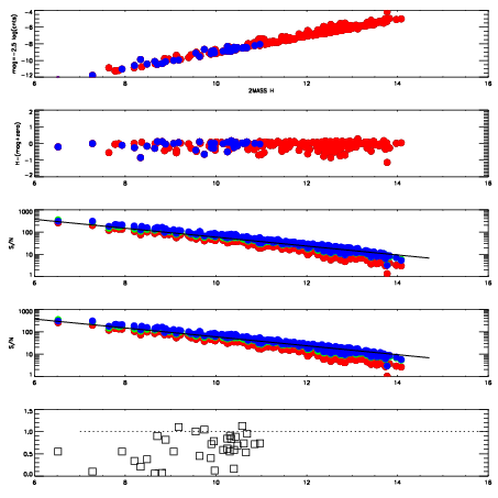
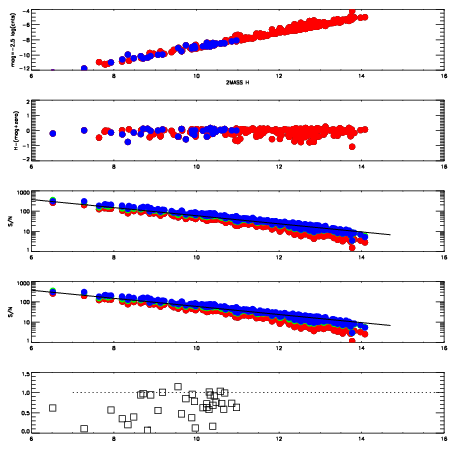
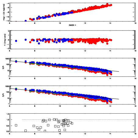
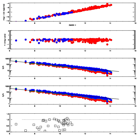
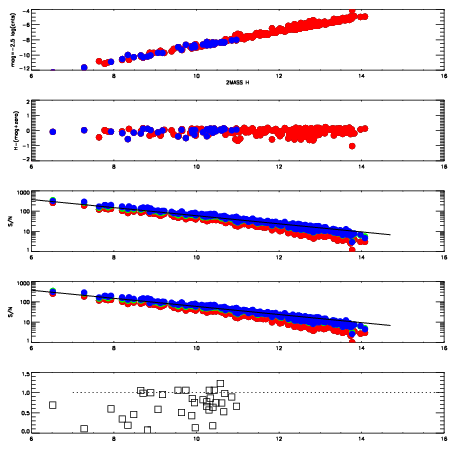
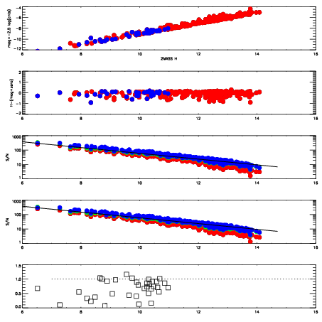
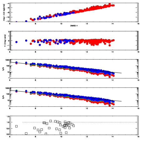
Frame | Nreads | Zeropoints | Mag plots
| Spatial mag deviation
| Spatial sky 16325A emission deviations (filled: sky, open: star)
| Spatial sky continuum emission
| Spatial sky telluric CO2 absorption deviations (filled: H < 10)
|
5440026
| 47
| | Red | Green | Blue
| z | | 18.90
| znorm | | 14.72
| sky | 14.2 | 14.1 | 14.1
| S/N | 14.9 | 24.2 | 25.3
| S/N(c) | 30.6 | 28.4 | 38.0
| SN(E/C) | 0.74
|
|
|
|
|
|
|
5440027
| 47
| | Red | Green | Blue
| z | | 18.90
| znorm | | 14.72
| sky | 14.2 | 14.1 | 14.4
| S/N | 14.3 | 24.3 | 26.4
| S/N(c) | 30.8 | 28.7 | 38.2
| SN(E/C) | 0.71
|
|
|
|
|
|
|
5440028
| 47
| | Red | Green | Blue
| z | | 19.01
| znorm | | 14.83
| sky | 14.3 | 14.2 | 14.4
| S/N | 15.5 | 25.9 | 28.1
| S/N(c) | 32.0 | 30.4 | 40.1
| SN(E/C) | 0.66
|
|
|
|
|
|
|
5440029
| 47
| | Red | Green | Blue
| z | | 19.04
| znorm | | 14.86
| sky | 14.3 | 14.3 | 14.5
| S/N | 15.8 | 26.6 | 28.6
| S/N(c) | 32.6 | 30.0 | 40.6
| SN(E/C) | 0.69
|
|
|
|
|
|
|
5440030
| 47
| | Red | Green | Blue
| z | | 19.06
| znorm | | 14.88
| sky | 14.3 | 14.3 | 14.4
| S/N | 15.9 | 26.8 | 29.2
| S/N(c) | 32.6 | 29.5 | 41.6
| SN(E/C) | 0.62
|
|
|
|
|
|
|
5440031
| 47
| | Red | Green | Blue
| z | | 19.07
| znorm | | 14.89
| sky | 14.2 | 14.3 | 14.4
| S/N | 16.3 | 26.8 | 29.1
| S/N(c) | 32.9 | 30.7 | 41.8
| SN(E/C) | 0.67
|
|
|
|
|
|
|
5440032
| 47
| | Red | Green | Blue
| z | | 19.05
| znorm | | 14.87
| sky | 14.2 | 14.3 | 14.5
| S/N | 16.2 | 26.4 | 28.9
| S/N(c) | 31.1 | 29.2 | 41.3
| SN(E/C) | 0.71
|
|
|
|
|
|
|
5440033
| 47
| | Red | Green | Blue
| z | | 19.02
| znorm | | 14.84
| sky | 14.4 | 14.4 | 14.6
| S/N | 15.6 | 26.4 | 28.6
| S/N(c) | 30.9 | 28.6 | 40.2
| SN(E/C) | 0.72
|
|
|
|
|
|
|