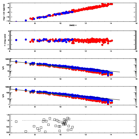
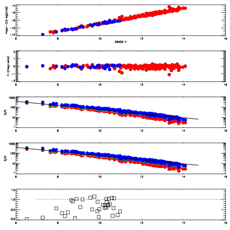
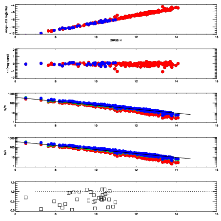
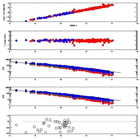
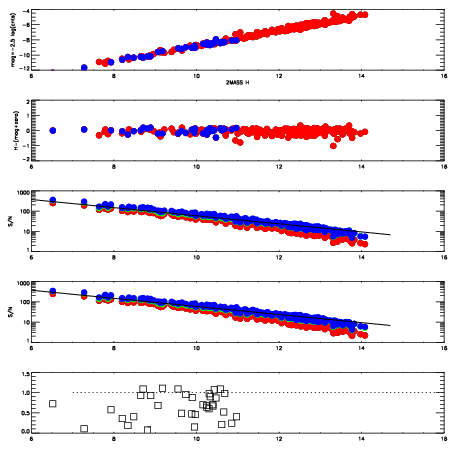
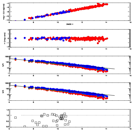
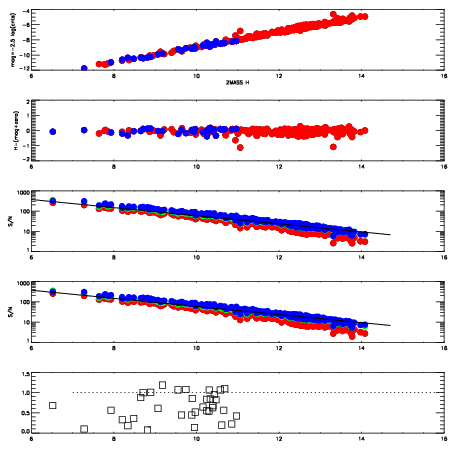
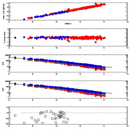
Frame | Nreads | Zeropoints | Mag plots
| Spatial mag deviation
| Spatial sky 16325A emission deviations (filled: sky, open: star)
| Spatial sky continuum emission
| Spatial sky telluric CO2 absorption deviations (filled: H < 10)
|
8400059
| 47
| | Red | Green | Blue
| z | | 18.72
| znorm | | 14.54
| sky | 14.9 | 14.4 | 14.4
| S/N | 13.5 | 21.8 | 22.9
| S/N(c) | 18.1 | 43.3 | 22.4
| SN(E/C) | 0.72
|
|
|
|
|
|
|
8400060
| 47
| | Red | Green | Blue
| z | | 18.79
| znorm | | 14.61
| sky | 15.1 | 14.5 | 14.8
| S/N | 14.0 | 22.7 | 24.6
| S/N(c) | 19.4 | 45.9 | 24.3
| SN(E/C) | 0.71
|
|
|
|
|
|
|
8400061
| 47
| | Red | Green | Blue
| z | | 18.87
| znorm | | 14.69
| sky | 15.0 | 14.6 | 14.6
| S/N | 14.7 | 23.9 | 25.5
| S/N(c) | 20.3 | 47.6 | 25.4
| SN(E/C) | 0.68
|
|
|
|
|
|
|
8400062
| 47
| | Red | Green | Blue
| z | | 18.95
| znorm | | 14.77
| sky | 14.8 | 14.6 | 14.7
| S/N | 15.6 | 24.9 | 26.6
| S/N(c) | 21.2 | 49.6 | 26.5
| SN(E/C) | 0.62
|
|
|
|
|
|
|
8400063
| 47
| | Red | Green | Blue
| z | | 18.91
| znorm | | 14.73
| sky | 14.9 | 14.7 | 14.8
| S/N | 14.7 | 24.1 | 25.8
| S/N(c) | 20.5 | 48.8 | 25.7
| SN(E/C) | 0.68
|
|
|
|
|
|
|
8400064
| 47
| | Red | Green | Blue
| z | | 18.96
| znorm | | 14.78
| sky | 14.8 | 14.8 | 14.7
| S/N | 15.1 | 24.9 | 26.2
| S/N(c) | 20.9 | 49.9 | 26.1
| SN(E/C) | 0.61
|
|
|
|
|
|
|
8400065
| 47
| | Red | Green | Blue
| z | | 18.97
| znorm | | 14.79
| sky | 14.6 | 14.7 | 14.7
| S/N | 15.1 | 25.1 | 26.4
| S/N(c) | 21.1 | 50.2 | 26.0
| SN(E/C) | 0.65
|
|
|
|
|
|
|
8400066
| 47
| | Red | Green | Blue
| z | | 19.02
| znorm | | 14.84
| sky | 14.9 | 14.7 | 15.0
| S/N | 15.5 | 25.4 | 26.7
| S/N(c) | 21.7 | 51.0 | 26.5
| SN(E/C) | 0.63
|
|
|
|
|
|
|