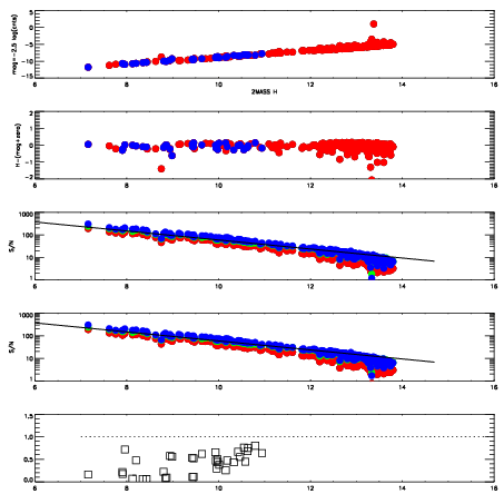
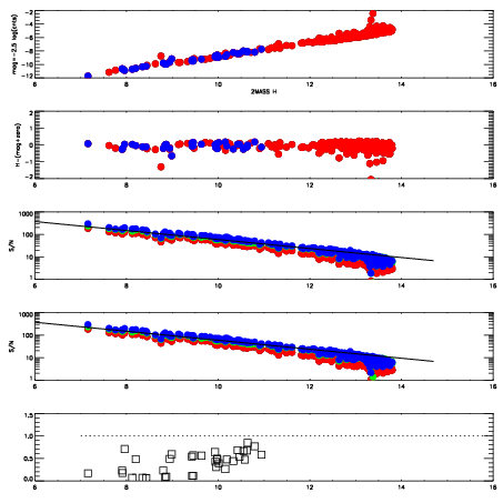
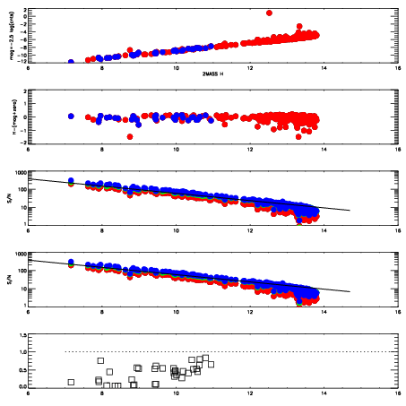
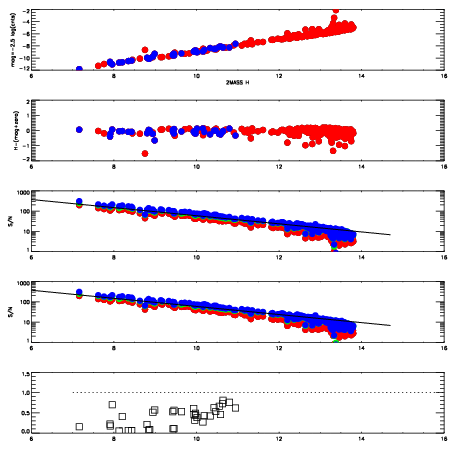
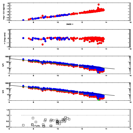
Frame | Nreads | Zeropoints | Mag plots
| Spatial mag deviation
| Spatial sky 16325A emission deviations (filled: sky, open: star)
| Spatial sky continuum emission
| Spatial sky telluric CO2 absorption deviations (filled: H < 10)
|
5160025
| 47
| | Red | Green | Blue
| z | | 18.88
| znorm | | 14.70
| sky | 14.4 | 14.0 | 14.0
| S/N | 15.6 | 25.3 | 26.9
| S/N(c) | 19.6 | 17.4 | 56.7
| SN(E/C) | 0.48
|
|
|
|
|
|
|
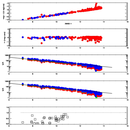
5160026
| 47
| | Red | Green | Blue
| z | | 18.93
| znorm | | 14.75
| sky | 14.4 | 14.2 | 14.3
| S/N | 15.8 | 26.3 | 28.3
| S/N(c) | 19.9 | 17.1 | 58.8
| SN(E/C) | 0.44
|
|
|
|
|
|
|
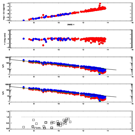
5160027
| 47
| | Red | Green | Blue
| z | | 18.91
| znorm | | 14.72
| sky | 14.3 | 14.1 | 14.2
| S/N | 15.6 | 25.6 | 27.7
| S/N(c) | 19.7 | 17.3 | 58.8
| SN(E/C) | 0.45
|
|
|
|
|
|
|
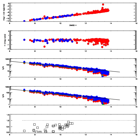
5160028
| 47
| | Red | Green | Blue
| z | | 18.84
| znorm | | 14.66
| sky | 14.4 | 14.2 | 14.2
| S/N | 14.6 | 24.5 | 26.2
| S/N(c) | 18.9 | 17.3 | 57.7
| SN(E/C) | 0.46
|
|
|
|
|
|
|
5160029
| 47
| | Red | Green | Blue
| z | | 18.80
| znorm | | 14.62
| sky | 14.5 | 14.4 | 14.4
| S/N | 14.2 | 23.9 | 25.4
| S/N(c) | 18.4 | 16.8 | 57.2
| SN(E/C) | 0.48
|
|
|
|
|
|
|
5160030
| 47
| | Red | Green | Blue
| z | | 18.88
| znorm | | 14.70
| sky | 14.4 | 14.3 | 14.3
| S/N | 15.0 | 25.1 | 26.7
| S/N(c) | 19.3 | 17.6 | 57.4
| SN(E/C) | 0.47
|
|
|
|
|
|
|
5160031
| 47
| | Red | Green | Blue
| z | | 18.93
| znorm | | 14.75
| sky | 14.4 | 14.3 | 14.4
| S/N | 15.6 | 26.0 | 27.8
| S/N(c) | 20.1 | 17.9 | 59.5
| SN(E/C) | 0.46
|
|
|
|
|
|
|
5160032
| 47
| | Red | Green | Blue
| z | | 18.91
| znorm | | 14.73
| sky | 14.4 | 14.5 | 14.5
| S/N | 15.2 | 26.2 | 27.6
| S/N(c) | 19.8 | 17.8 | 58.7
| SN(E/C) | 0.45
|
|
|
|
|
|
|