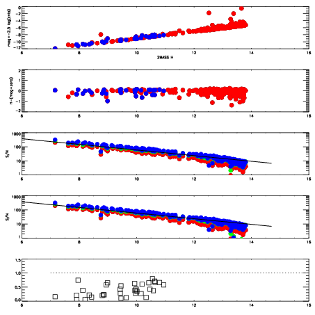
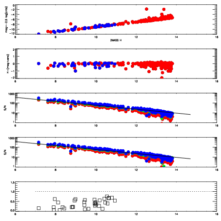
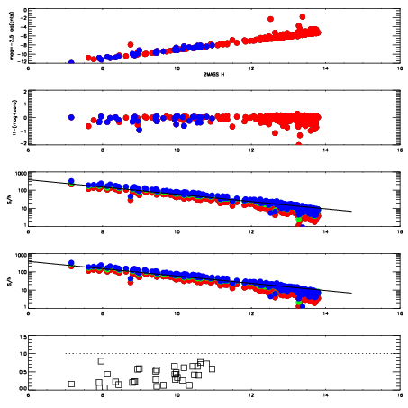
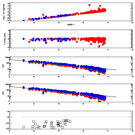
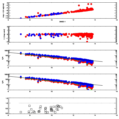
Frame | Nreads | Zeropoints | Mag plots
| Spatial mag deviation
| Spatial sky 16325A emission deviations (filled: sky, open: star)
| Spatial sky continuum emission
| Spatial sky telluric CO2 absorption deviations (filled: H < 10)
|
5200025
| 47
| | Red | Green | Blue
| z | | 19.00
| znorm | | 14.82
| sky | 13.8 | 13.6 | 13.6
| S/N | 16.2 | 25.6 | 27.7
| S/N(c) | 10.4 | 16.5 | 22.1
| SN(E/C) | 0.42
|
|
|
|
|
|
|
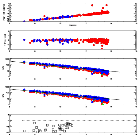
5200026
| 47
| | Red | Green | Blue
| z | | 19.07
| znorm | | 14.89
| sky | 14.0 | 13.9 | 14.1
| S/N | 16.9 | 27.4 | 29.8
| S/N(c) | 10.7 | 17.0 | 23.5
| SN(E/C) | 0.42
|
|
|
|
|
|
|
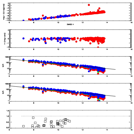
5200027
| 47
| | Red | Green | Blue
| z | | 19.07
| znorm | | 14.89
| sky | 14.1 | 14.0 | 14.1
| S/N | 16.9 | 27.8 | 30.0
| S/N(c) | 10.8 | 17.3 | 24.1
| SN(E/C) | 0.39
|
|
|
|
|
|
|
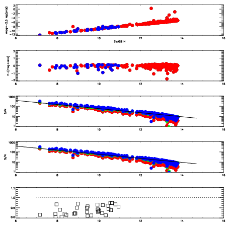
5200028
| 47
| | Red | Green | Blue
| z | | 19.04
| znorm | | 14.85
| sky | 14.0 | 14.0 | 14.1
| S/N | 16.9 | 27.0 | 29.3
| S/N(c) | 10.5 | 16.9 | 23.9
| SN(E/C) | 0.38
|
|
|
|
|
|
|
5200029
| 47
| | Red | Green | Blue
| z | | 19.06
| znorm | | 14.88
| sky | 14.2 | 14.1 | 14.1
| S/N | 17.0 | 27.6 | 29.4
| S/N(c) | 10.7 | 17.2 | 24.1
| SN(E/C) | 0.41
|
|
|
|
|
|
|
5200030
| 47
| | Red | Green | Blue
| z | | 19.06
| znorm | | 14.88
| sky | 14.2 | 14.2 | 14.1
| S/N | 17.1 | 27.5 | 29.2
| S/N(c) | 10.8 | 17.4 | 24.3
| SN(E/C) | 0.40
|
|
|
|
|
|
|
5200031
| 47
| | Red | Green | Blue
| z | | 19.03
| znorm | | 14.85
| sky | 14.2 | 14.2 | 14.2
| S/N | 16.5 | 27.2 | 28.9
| S/N(c) | 10.7 | 17.3 | 24.1
| SN(E/C) | 0.40
|
|
|
|
|
|
|
5200032
| 47
| | Red | Green | Blue
| z | | 19.02
| znorm | | 14.84
| sky | 14.2 | 14.2 | 14.1
| S/N | 16.4 | 27.0 | 28.4
| S/N(c) | 10.6 | 17.0 | 23.9
| SN(E/C) | 0.40
|
|
|
|
|
|
|