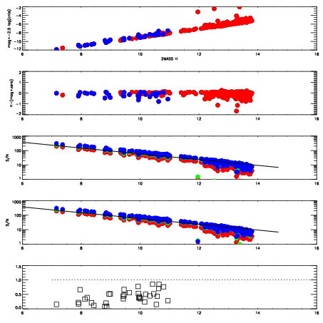
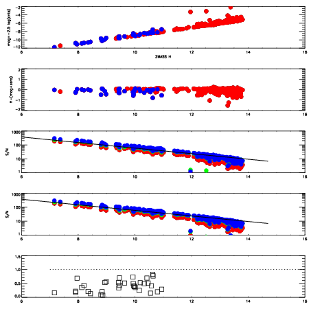
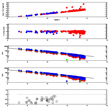
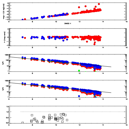
Frame | Nreads | Zeropoints | Mag plots
| Spatial mag deviation
| Spatial sky 16325A emission deviations (filled: sky, open: star)
| Spatial sky continuum emission
| Spatial sky telluric CO2 absorption deviations (filled: H < 10)
|
5180022
| 47
| | Red | Green | Blue
| z | | 18.99
| znorm | | 14.81
| sky | 13.6 | 13.4 | 13.4
| S/N | 14.3 | 23.5 | 24.8
| S/N(c) | 26.8 | 0.2 | 30.6
| SN(E/C) | 0.41
|
|
|
|
|
|
|
5180023
| 47
| | Red | Green | Blue
| z | | 19.02
| znorm | | 14.84
| sky | 13.8 | 13.6 | 13.8
| S/N | 14.5 | 24.1 | 25.7
| S/N(c) | 27.4 | 0.2 | 31.6
| SN(E/C) | 0.39
|
|
|
|
|
|
|
5180024
| 47
| | Red | Green | Blue
| z | | 18.97
| znorm | | 14.79
| sky | 13.8 | 13.8 | 13.7
| S/N | 14.0 | 23.5 | 24.9
| S/N(c) | 26.7 | 0.2 | 31.1
| SN(E/C) | 0.41
|
|
|
|
|
|
|
5180025
| 47
| | Red | Green | Blue
| z | | 19.05
| znorm | | 14.87
| sky | 13.8 | 13.8 | 13.8
| S/N | 14.8 | 24.7 | 26.2
| S/N(c) | 27.9 | 0.2 | 32.6
| SN(E/C) | 0.42
|
|
|
|
|
|
|
5180026
| 47
| | Red | Green | Blue
| z | | 19.02
| znorm | | 14.84
| sky | 13.8 | 13.9 | 13.8
| S/N | 14.3 | 24.0 | 25.3
| S/N(c) | 27.3 | 0.2 | 31.9
| SN(E/C) | 0.40
|
|
|
|
|
|
|
5180027
| 47
| | Red | Green | Blue
| z | | 18.96
| znorm | | 14.78
| sky | 13.8 | 13.8 | 13.7
| S/N | 13.8 | 23.2 | 24.4
| S/N(c) | 26.6 | 0.2 | 31.4
| SN(E/C) | 0.42
|
|
|
|
|
|
|
5180028
| 47
| | Red | Green | Blue
| z | | 18.92
| znorm | | 14.74
| sky | 13.6 | 13.5 | 13.4
| S/N | 13.1 | 22.1 | 23.1
| S/N(c) | 25.5 | 0.2 | 30.4
| SN(E/C) | 0.43
|
|
|
|
|
|
|
5180029
| 47
| | Red | Green | Blue
| z | | 18.89
| znorm | | 14.71
| sky | 13.5 | 13.4 | 13.3
| S/N | 12.6 | 21.5 | 22.1
| S/N(c) | 25.0 | 0.2 | 30.1
| SN(E/C) | 0.44
|
|
|
|
|
|
|