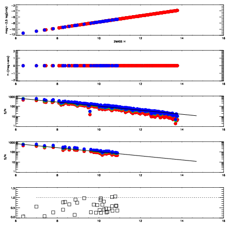
Left plots: red are targets, blue are telluric. Observed mags are calculated from median value of green chip. Zeropoint gives overall throughput: bigger number is more throughput.
First spatial plots: circles are objects, squares are tellurics, crosses are sky fibers. Colors give deviation of observed mag from expected 2MASS mag using the median zeropoint; red is brighter
Second spatial plots: circles are sky fibers. Colors give sky line brightness relative to plate median sky line brightness
FrameNreadsZeropointsMag plots Spatial mag deviation Spatial sky 16325A emission deviations (filled: sky, open: star) Spatial sky continuum emission Spatial sky telluric CO2 absorption deviations (filled: H < 10)
0 0
RedGreenBlue
z17.64
znorm Inf
sky -Inf -Inf -Inf
S/N 23.5 39.8 41.9
S/N(c) 0.0 0.0 0.0
SN(E/C) 0.57

IPAIRNAMESHIFTNEWSHIFTS/N NAMESHIFTNEWSHIFTS/N
0 04300049 0.495413 0.00000 19.1519 04300050 0.000574041 0.494839 19.2046
1 04300052 0.491041 0.00437200 19.0336 04300051 -0.00110265 0.496516 19.0506
2 04300048 0.491229 0.00418401 18.7762 04300047 0.00000 0.495413 18.6197