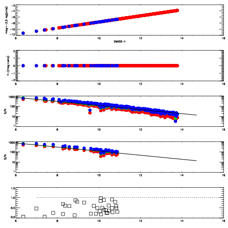
Left plots: red are targets, blue are telluric. Observed mags are calculated from median value of green chip. Zeropoint gives overall throughput: bigger number is more throughput.
First spatial plots: circles are objects, squares are tellurics, crosses are sky fibers. Colors give deviation of observed mag from expected 2MASS mag using the median zeropoint; red is brighter
Second spatial plots: circles are sky fibers. Colors give sky line brightness relative to plate median sky line brightness
FrameNreadsZeropointsMag plots Spatial mag deviation Spatial sky 16325A emission deviations (filled: sky, open: star) Spatial sky continuum emission Spatial sky telluric CO2 absorption deviations (filled: H < 10)
0 0
RedGreenBlue
z17.64
znorm Inf
sky -NaN -NaN -NaN
S/N 31.3 50.9 53.0
S/N(c) 0.0 0.0 0.0
SN(E/C) 0.48

IPAIRNAMESHIFTNEWSHIFTS/N NAMESHIFTNEWSHIFTS/N
0 04610023 0.498165 0.00000 19.1727 04610028 0.00356364 0.494601 19.1787
1 04610026 0.493016 0.00514901 19.1898 04610025 0.000977452 0.497188 19.2136
2 04610027 0.497540 0.000625014 19.1807 04610024 0.000805972 0.497359 19.1998
3 04610022 0.495529 0.00263602 19.0848 04610021 0.00000 0.498165 19.1151