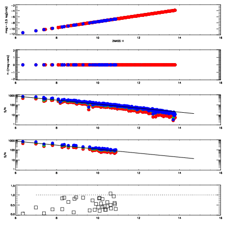
Left plots: red are targets, blue are telluric. Observed mags are calculated from median value of green chip. Zeropoint gives overall throughput: bigger number is more throughput.
First spatial plots: circles are objects, squares are tellurics, crosses are sky fibers. Colors give deviation of observed mag from expected 2MASS mag using the median zeropoint; red is brighter
Second spatial plots: circles are sky fibers. Colors give sky line brightness relative to plate median sky line brightness
FrameNreadsZeropointsMag plots Spatial mag deviation Spatial sky 16325A emission deviations (filled: sky, open: star) Spatial sky continuum emission Spatial sky telluric CO2 absorption deviations (filled: H < 10)
0 0
RedGreenBlue
z17.64
znorm Inf
sky -Inf -NaN -NaN
S/N 28.1 48.3 49.9
S/N(c) 0.0 0.0 0.0
SN(E/C) 0.51

IPAIRNAMESHIFTNEWSHIFTS/N NAMESHIFTNEWSHIFTS/N
0 04670042 0.496491 0.00000 18.9156 04670043 -0.00104164 0.497533 18.8309
1 04670038 0.494591 0.00189999 18.9798 04670039 0.00196865 0.494522 18.9151
2 04670037 0.494323 0.00216800 18.9504 04670040 0.000819027 0.495672 18.8865
3 04670041 0.496370 0.000120997 18.8043 04670036 0.00000 0.496491 18.8010