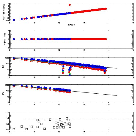
Left plots: red are targets, blue are telluric. Observed mags are calculated from median value of green chip. Zeropoint gives overall throughput: bigger number is more throughput.
First spatial plots: circles are objects, squares are tellurics, crosses are sky fibers. Colors give deviation of observed mag from expected 2MASS mag using the median zeropoint; red is brighter
Second spatial plots: circles are sky fibers. Colors give sky line brightness relative to plate median sky line brightness
FrameNreadsZeropointsMag plots Spatial mag deviation Spatial sky 16325A emission deviations (filled: sky, open: star) Spatial sky continuum emission Spatial sky telluric CO2 absorption deviations (filled: H < 10)
0 0
RedGreenBlue
z17.64
znorm Inf
sky -NaN -NaN -NaN
S/N 27.8 48.1 52.3
S/N(c) 0.0 0.0 0.0
SN(E/C) 0.45

IPAIRNAMESHIFTNEWSHIFTS/N NAMESHIFTNEWSHIFTS/N
0 04620040 0.494794 0.00000 18.6790 04620041 0.00231550 0.492479 18.7696
1 04620043 0.491556 0.00323802 19.0806 04620045 -0.00110182 0.495896 19.0538
2 04620044 0.492744 0.00205001 19.0305 04620046 -0.00216884 0.496963 19.0383
3 04620047 0.490828 0.00396600 19.0045 04620038 0.00000 0.494794 18.9929
4 04620039 0.494171 0.000623018 18.7021 04620042 -0.000132667 0.494927 18.9814