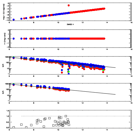
Left plots: red are targets, blue are telluric. Observed mags are calculated from median value of green chip. Zeropoint gives overall throughput: bigger number is more throughput.
First spatial plots: circles are objects, squares are tellurics, crosses are sky fibers. Colors give deviation of observed mag from expected 2MASS mag using the median zeropoint; red is brighter
Second spatial plots: circles are sky fibers. Colors give sky line brightness relative to plate median sky line brightness
FrameNreadsZeropointsMag plots Spatial mag deviation Spatial sky 16325A emission deviations (filled: sky, open: star) Spatial sky continuum emission Spatial sky telluric CO2 absorption deviations (filled: H < 10)
0 0
RedGreenBlue
z17.64
znorm Inf
sky -NaN -Inf -Inf
S/N 28.6 47.5 53.1
S/N(c) 0.0 0.0 0.0
SN(E/C) 0.46

IPAIRNAMESHIFTNEWSHIFTS/N NAMESHIFTNEWSHIFTS/N
0 04890068 0.490154 0.00000 19.0806 04890069 0.00169498 0.488459 19.0828
1 04890064 0.489833 0.000321001 19.1265 04890065 0.000232343 0.489922 19.1264
2 04890063 0.489577 0.000577003 19.1258 04890066 6.35049e-05 0.490090 19.1137
3 04890067 0.489156 0.000997990 19.1154 04890062 0.00000 0.490154 19.1016