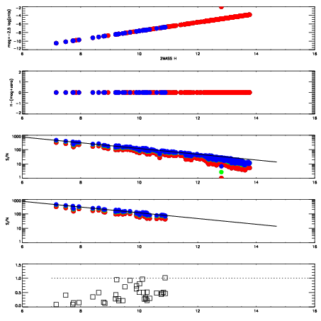
Left plots: red are targets, blue are telluric. Observed mags are calculated from median value of green chip. Zeropoint gives overall throughput: bigger number is more throughput.
First spatial plots: circles are objects, squares are tellurics, crosses are sky fibers. Colors give deviation of observed mag from expected 2MASS mag using the median zeropoint; red is brighter
Second spatial plots: circles are sky fibers. Colors give sky line brightness relative to plate median sky line brightness
FrameNreadsZeropointsMag plots Spatial mag deviation Spatial sky 16325A emission deviations (filled: sky, open: star) Spatial sky continuum emission Spatial sky telluric CO2 absorption deviations (filled: H < 10)
0 0
RedGreenBlue
z17.64
znorm Inf
sky -Inf -Inf -NaN
S/N 23.3 38.9 40.1
S/N(c) 0.0 0.0 0.0
SN(E/C) 0.42

IPAIRNAMESHIFTNEWSHIFTS/N NAMESHIFTNEWSHIFTS/N
0 04300042 0.494532 0.00000 18.7682 04300043 0.000419679 0.494112 19.1012
1 04300037 0.492916 0.00161600 18.6385 04300039 0.00144542 0.493087 18.9685
2 04300038 0.494224 0.000307977 18.4546 04300040 -0.00107551 0.495607 18.9660
3 04300041 0.492291 0.00224099 16.5747 04300036 0.00000 0.494532 18.8580