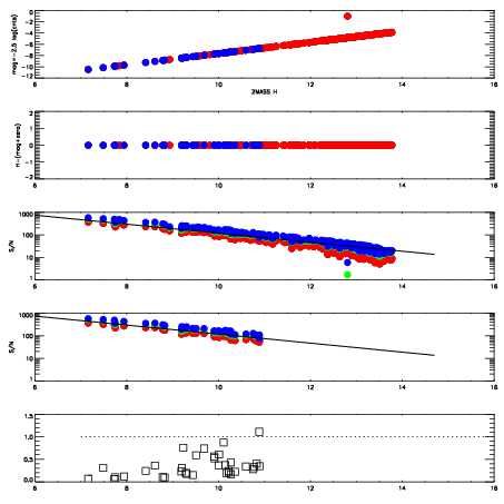
Left plots: red are targets, blue are telluric. Observed mags are calculated from median value of green chip. Zeropoint gives overall throughput: bigger number is more throughput.
First spatial plots: circles are objects, squares are tellurics, crosses are sky fibers. Colors give deviation of observed mag from expected 2MASS mag using the median zeropoint; red is brighter
Second spatial plots: circles are sky fibers. Colors give sky line brightness relative to plate median sky line brightness
FrameNreadsZeropointsMag plots Spatial mag deviation Spatial sky 16325A emission deviations (filled: sky, open: star) Spatial sky continuum emission Spatial sky telluric CO2 absorption deviations (filled: H < 10)
0 0
RedGreenBlue
z17.64
znorm Inf
sky -Inf -NaN -Inf
S/N 32.1 54.6 58.2
S/N(c) 0.0 0.0 0.0
SN(E/C) 0.31

IPAIRNAMESHIFTNEWSHIFTS/N NAMESHIFTNEWSHIFTS/N
0 04600071 0.499556 0.00000 19.1771 04600073 -0.000506923 0.500063 19.1443
1 04600074 0.495887 0.00366899 19.1870 04600076 0.00143454 0.498121 19.2389
2 04600075 0.499341 0.000214994 19.1848 04600069 0.00000 0.499556 19.1730
3 04600070 0.495851 0.00370499 19.1554 04600072 0.000837455 0.498719 19.0933