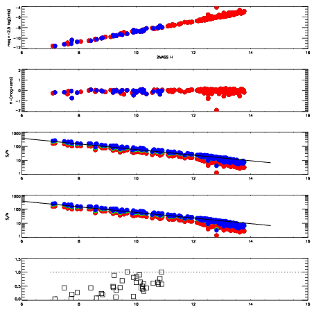
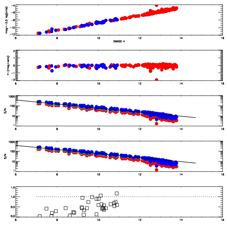
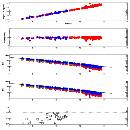
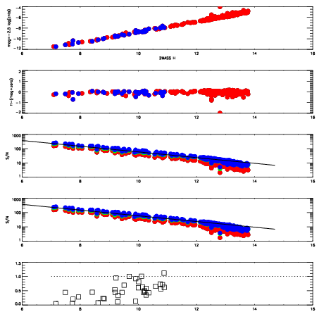
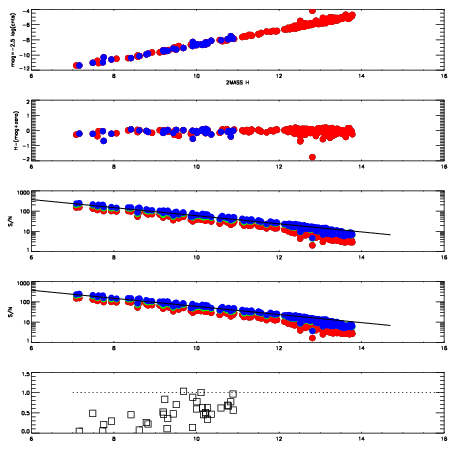
Frame | Nreads | Zeropoints | Mag plots
| Spatial mag deviation
| Spatial sky 16325A emission deviations (filled: sky, open: star)
| Spatial sky continuum emission
| Spatial sky telluric CO2 absorption deviations (filled: H < 10)
|
4630023
| 47
| | Red | Green | Blue
| z | | 18.64
| znorm | | 14.46
| sky | 15.0 | 14.8 | 14.8
| S/N | 13.2 | 21.7 | 22.9
| S/N(c) | 3.3 | 14.8 | 17.9
| SN(E/C) | 0.49
|
|
|
|
|
|
|
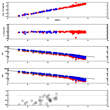
4630024
| 47
| | Red | Green | Blue
| z | | 18.55
| znorm | | 14.37
| sky | 15.0 | 14.8 | 15.2
| S/N | 12.2 | 20.8 | 21.9
| S/N(c) | 3.1 | 14.3 | 17.3
| SN(E/C) | 0.50
|
|
|
|
|
|
|
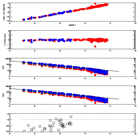
4630025
| 47
| | Red | Green | Blue
| z | | 18.66
| znorm | | 14.48
| sky | 14.9 | 14.9 | 15.4
| S/N | 13.1 | 22.1 | 23.2
| S/N(c) | 3.3 | 14.8 | 18.4
| SN(E/C) | 0.49
|
|
|
|
|
|
|
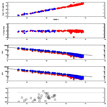
4630026
| 47
| | Red | Green | Blue
| z | | 18.83
| znorm | | 14.65
| sky | 14.9 | 15.1 | 15.3
| S/N | 14.7 | 24.4 | 25.7
| S/N(c) | 3.6 | 16.0 | 19.6
| SN(E/C) | 0.44
|
|
|
|
|
|
|
4630027
| 47
| | Red | Green | Blue
| z | | 18.83
| znorm | | 14.65
| sky | 14.8 | 14.9 | 15.1
| S/N | 14.6 | 24.4 | 25.7
| S/N(c) | 3.6 | 16.1 | 20.0
| SN(E/C) | 0.45
|
|
|
|
|
|
|
4630028
| 47
| | Red | Green | Blue
| z | | 18.81
| znorm | | 14.63
| sky | 15.1 | 14.9 | 15.4
| S/N | 14.1 | 23.9 | 25.6
| S/N(c) | 3.6 | 16.0 | 20.1
| SN(E/C) | 0.45
|
|
|
|
|
|
|
4630029
| 47
| | Red | Green | Blue
| z | | 18.73
| znorm | | 14.55
| sky | 14.9 | 15.1 | 15.3
| S/N | 13.5 | 22.6 | 24.1
| S/N(c) | 3.4 | 15.3 | 19.3
| SN(E/C) | 0.48
|
|
|
|
|
|
|
4630030
| 47
| | Red | Green | Blue
| z | | 18.74
| znorm | | 14.55
| sky | 15.1 | 15.1 | 15.3
| S/N | 13.5 | 22.7 | 23.9
| S/N(c) | 3.4 | 15.6 | 19.4
| SN(E/C) | 0.49
|
|
|
|
|
|
|