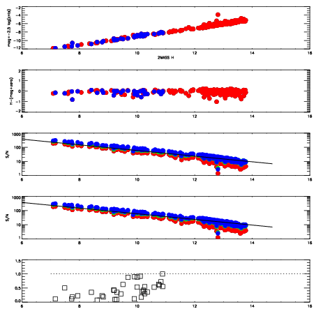
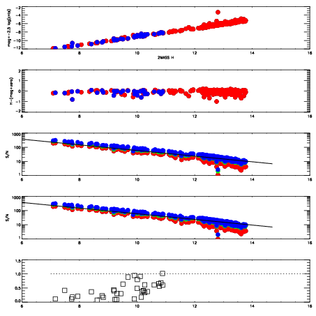
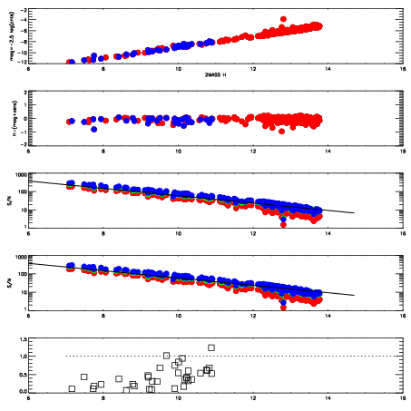
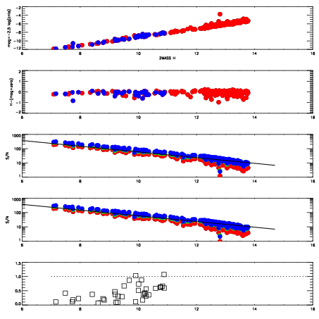
Frame | Nreads | Zeropoints | Mag plots
| Spatial mag deviation
| Spatial sky 16325A emission deviations (filled: sky, open: star)
| Spatial sky continuum emission
| Spatial sky telluric CO2 absorption deviations (filled: H < 10)
|
4870059
| 47
| | Red | Green | Blue
| z | | 19.13
| znorm | | 14.95
| sky | 14.6 | 14.5 | 14.6
| S/N | 16.9 | 27.5 | 30.1
| S/N(c) | 30.3 | 17.6 | 23.6
| SN(E/C) | 0.38
|
|
|
|
|
|
|
4870060
| 47
| | Red | Green | Blue
| z | | 19.18
| znorm | | 15.00
| sky | 14.6 | 14.7 | 14.8
| S/N | 17.9 | 28.6 | 31.2
| S/N(c) | 30.8 | 17.9 | 24.0
| SN(E/C) | 0.38
|
|
|
|
|
|
|
4870061
| 47
| | Red | Green | Blue
| z | | 19.20
| znorm | | 15.02
| sky | 14.8 | 14.7 | 14.9
| S/N | 17.9 | 29.2 | 31.5
| S/N(c) | 31.3 | 18.2 | 24.3
| SN(E/C) | 0.39
|
|
|
|
|
|
|
4870062
| 47
| | Red | Green | Blue
| z | | 19.17
| znorm | | 14.99
| sky | 14.7 | 14.7 | 14.9
| S/N | 17.6 | 28.4 | 30.7
| S/N(c) | 30.7 | 17.9 | 23.9
| SN(E/C) | 0.37
|
|
|
|
|
|
|
4870063
| 47
| | Red | Green | Blue
| z | | 19.16
| znorm | | 14.98
| sky | 14.9 | 14.8 | 14.8
| S/N | 17.4 | 28.5 | 30.9
| S/N(c) | 30.8 | 17.8 | 23.9
| SN(E/C) | 0.39
|
|
|
|
|
|
|
4870064
| 47
| | Red | Green | Blue
| z | | 19.13
| znorm | | 14.95
| sky | 14.7 | 14.8 | 14.8
| S/N | 17.1 | 28.1 | 30.1
| S/N(c) | 30.3 | 17.5 | 23.6
| SN(E/C) | 0.37
|
|
|
|
|
|
|
4870065
| 47
| | Red | Green | Blue
| z | | 19.09
| znorm | | 14.91
| sky | 15.0 | 14.9 | 14.9
| S/N | 16.6 | 27.4 | 29.2
| S/N(c) | 29.5 | 17.0 | 22.9
| SN(E/C) | 0.40
|
|
|
|
|
|
|
4870066
| 47
| | Red | Green | Blue
| z | | 19.13
| znorm | | 14.95
| sky | 14.8 | 14.9 | 14.9
| S/N | 17.2 | 28.1 | 30.3
| S/N(c) | 30.2 | 17.5 | 23.5
| SN(E/C) | 0.40
|
|
|
|
|
|
|