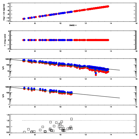
Left plots: red are targets, blue are telluric. Observed mags are calculated from median value of green chip. Zeropoint gives overall throughput: bigger number is more throughput.
First spatial plots: circles are objects, squares are tellurics, crosses are sky fibers. Colors give deviation of observed mag from expected 2MASS mag using the median zeropoint; red is brighter
Second spatial plots: circles are sky fibers. Colors give sky line brightness relative to plate median sky line brightness
FrameNreadsZeropointsMag plots Spatial mag deviation Spatial sky 16325A emission deviations (filled: sky, open: star) Spatial sky continuum emission Spatial sky telluric CO2 absorption deviations (filled: H < 10)
0 0
RedGreenBlue
z17.64
znorm Inf
sky -Inf -NaN -Inf
S/N 31.1 53.4 57.7
S/N(c) 0.0 0.0 0.0
SN(E/C) 0.33

IPAIRNAMESHIFTNEWSHIFTS/N NAMESHIFTNEWSHIFTS/N
0 04870061 0.498896 0.00000 19.1905 04870062 9.22338e-06 0.498887 19.1557
1 04870060 0.498604 0.000292003 19.1674 04870063 0.00102884 0.497867 19.1487
2 04870064 0.497292 0.00160399 19.1259 04870059 0.00000 0.498896 19.1315
3 04870065 0.498524 0.000371993 19.0690 04870066 0.000557239 0.498339 19.1213