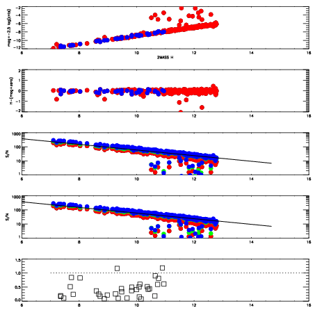
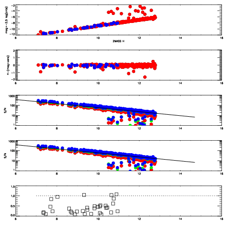
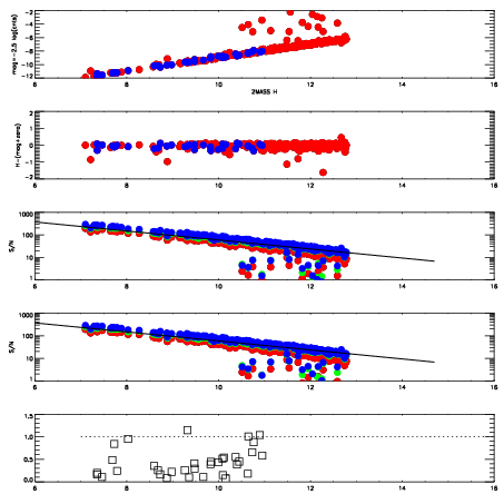
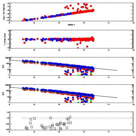
Frame | Nreads | Zeropoints | Mag plots
| Spatial mag deviation
| Spatial sky 16325A emission deviations (filled: sky, open: star)
| Spatial sky continuum emission
| Spatial sky telluric CO2 absorption deviations (filled: H < 10)
|
8760011
| 47
| | Red | Green | Blue
| z | | 18.93
| znorm | | 14.75
| sky | 13.6 | 13.6 | 13.4
| S/N | 13.5 | 22.6 | 23.3
| S/N(c) | 19.4 | 6.6 | 7.6
| SN(E/C) | 0.39
|
|
|
|
|
|
|
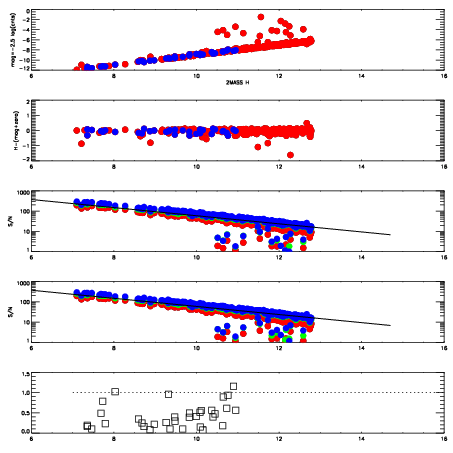
8760012
| 47
| | Red | Green | Blue
| z | | 18.95
| znorm | | 14.77
| sky | 14.3 | 14.5 | 14.5
| S/N | 13.9 | 23.6 | 24.5
| S/N(c) | 19.3 | 6.9 | 7.9
| SN(E/C) | 0.40
|
|
|
|
|
|
|
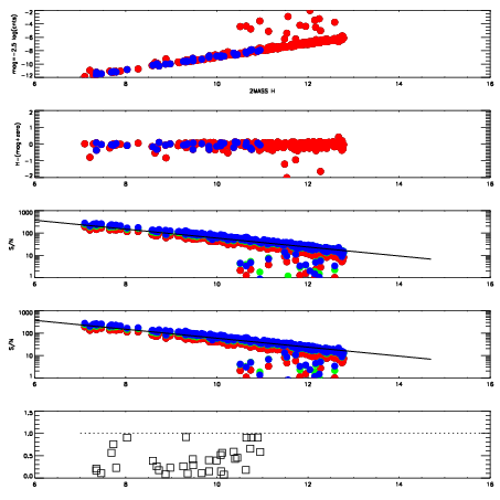
8760013
| 47
| | Red | Green | Blue
| z | | 18.94
| znorm | | 14.76
| sky | 14.5 | 14.5 | 14.5
| S/N | 13.9 | 23.3 | 24.3
| S/N(c) | 19.0 | 6.9 | 7.9
| SN(E/C) | 0.38
|
|
|
|
|
|
|
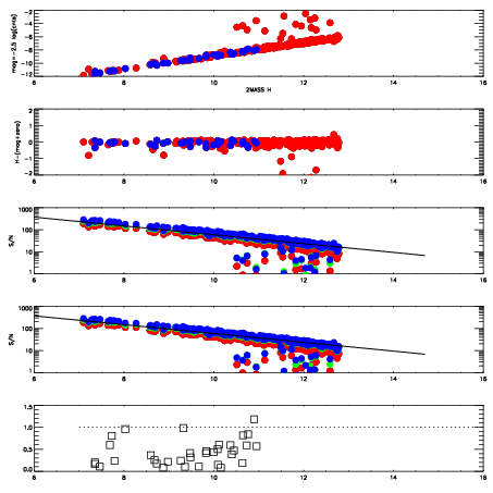
8760014
| 47
| | Red | Green | Blue
| z | | 18.91
| znorm | | 14.73
| sky | 14.5 | 14.4 | 14.6
| S/N | 13.7 | 23.3 | 24.1
| S/N(c) | 18.9 | 6.8 | 7.8
| SN(E/C) | 0.41
|
|
|
|
|
|
|
8760015
| 47
| | Red | Green | Blue
| z | | 18.95
| znorm | | 14.77
| sky | 14.5 | 14.4 | 14.7
| S/N | 13.6 | 23.6 | 24.9
| S/N(c) | 19.6 | 6.9 | 8.0
| SN(E/C) | 0.37
|
|
|
|
|
|
|
8760016
| 47
| | Red | Green | Blue
| z | | 19.02
| znorm | | 14.84
| sky | 14.6 | 14.5 | 14.5
| S/N | 14.4 | 24.7 | 25.9
| S/N(c) | 20.4 | 7.2 | 8.4
| SN(E/C) | 0.39
|
|
|
|
|
|
|
8760017
| 47
| | Red | Green | Blue
| z | | 19.02
| znorm | | 14.84
| sky | 14.3 | 14.5 | 14.7
| S/N | 14.2 | 24.7 | 26.0
| S/N(c) | 20.3 | 7.2 | 8.3
| SN(E/C) | 0.38
|
|
|
|
|
|
|
8760018
| 47
| | Red | Green | Blue
| z | | 18.99
| znorm | | 14.81
| sky | 14.7 | 14.5 | 14.5
| S/N | 14.3 | 24.0 | 25.7
| S/N(c) | 19.9 | 7.1 | 8.2
| SN(E/C) | 0.38
|
|
|
|
|
|
|