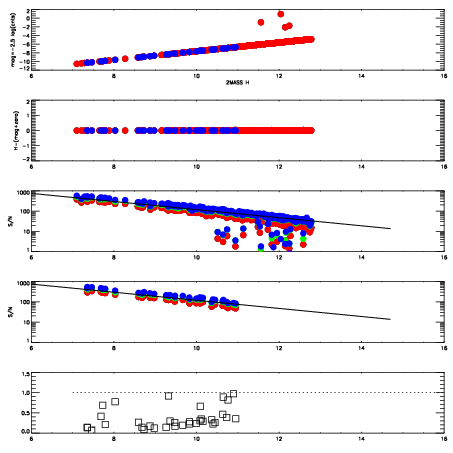
Left plots: red are targets, blue are telluric. Observed mags are calculated from median value of green chip. Zeropoint gives overall throughput: bigger number is more throughput.
First spatial plots: circles are objects, squares are tellurics, crosses are sky fibers. Colors give deviation of observed mag from expected 2MASS mag using the median zeropoint; red is brighter
Second spatial plots: circles are sky fibers. Colors give sky line brightness relative to plate median sky line brightness
FrameNreadsZeropointsMag plots Spatial mag deviation Spatial sky 16325A emission deviations (filled: sky, open: star) Spatial sky continuum emission Spatial sky telluric CO2 absorption deviations (filled: H < 10)
0 0
RedGreenBlue
z17.64
znorm Inf
sky -Inf -Inf -Inf
S/N 24.9 43.9 47.3
S/N(c) 0.0 0.0 0.0
SN(E/C) 0.27

IPAIRNAMESHIFTNEWSHIFTS/N NAMESHIFTNEWSHIFTS/N
0 08760013 0.481881 0.00000 18.9136 08760014 -0.000574305 0.482455 18.8897
1 08760016 0.479952 0.00192899 19.0016 08760018 -0.000371806 0.482253 18.9775
2 08760017 0.480928 0.000952989 19.0005 08760015 -0.000836580 0.482718 18.9246
3 08760012 0.480848 0.00103298 18.9180 08760011 0.00000 0.481881 18.9122