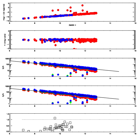
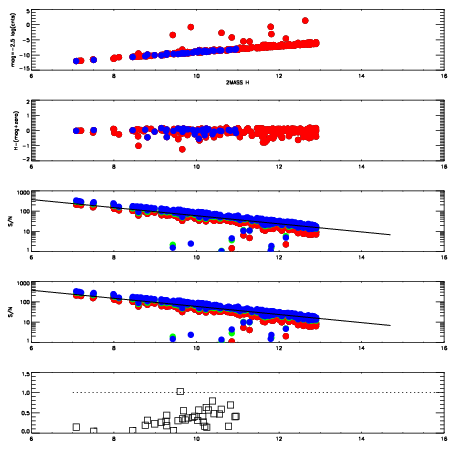
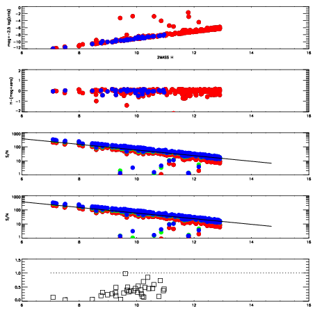
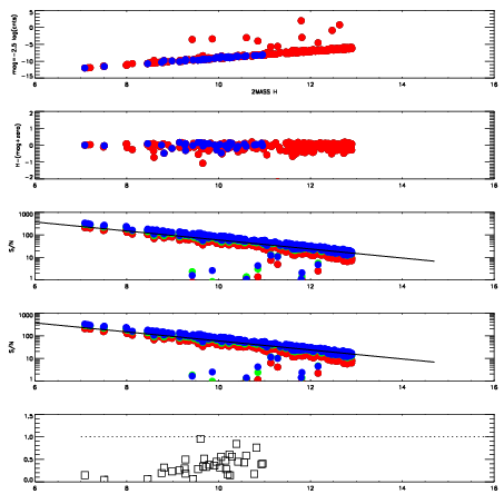
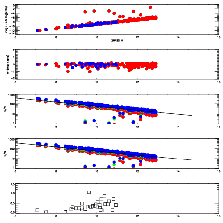
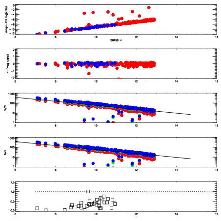
Frame | Nreads | Zeropoints | Mag plots
| Spatial mag deviation
| Spatial sky 16325A emission deviations (filled: sky, open: star)
| Spatial sky continuum emission
| Spatial sky telluric CO2 absorption deviations (filled: H < 10)
|
4870011
| 47
| | Red | Green | Blue
| z | | 19.08
| znorm | | 14.90
| sky | 14.6 | 14.3 | 14.3
| S/N | 15.5 | 26.3 | 27.4
| S/N(c) | 18.5 | 4.7 | 45.7
| SN(E/C) | 0.36
|
|
|
|
|
|
|
4870012
| 47
| | Red | Green | Blue
| z | | 19.09
| znorm | | 14.91
| sky | 14.7 | 14.6 | 14.7
| S/N | 15.1 | 25.5 | 27.0
| S/N(c) | 18.4 | 4.8 | 46.8
| SN(E/C) | 0.35
|
|
|
|
|
|
|
4870013
| 47
| | Red | Green | Blue
| z | | 19.10
| znorm | | 14.92
| sky | 14.6 | 14.6 | 14.6
| S/N | 15.1 | 25.6 | 26.9
| S/N(c) | 18.2 | 4.8 | 46.6
| SN(E/C) | 0.36
|
|
|
|
|
|
|
4870014
| 47
| | Red | Green | Blue
| z | | 19.09
| znorm | | 14.91
| sky | 14.6 | 14.7 | 14.7
| S/N | 15.0 | 25.7 | 27.1
| S/N(c) | 18.3 | 4.8 | 47.3
| SN(E/C) | 0.34
|
|
|
|
|
|
|
4870015
| 47
| | Red | Green | Blue
| z | | 19.05
| znorm | | 14.87
| sky | 14.6 | 14.7 | 14.7
| S/N | 14.4 | 24.8 | 26.2
| S/N(c) | 17.8 | 4.7 | 45.8
| SN(E/C) | 0.35
|
|
|
|
|
|
|
4870016
| 47
| | Red | Green | Blue
| z | | 19.08
| znorm | | 14.90
| sky | 14.6 | 14.7 | 14.7
| S/N | 14.6 | 24.8 | 26.7
| S/N(c) | 18.2 | 4.8 | 47.2
| SN(E/C) | 0.34
|
|
|
|
|
|
|
4870017
| 47
| | Red | Green | Blue
| z | | 19.06
| znorm | | 14.88
| sky | 14.5 | 14.8 | 14.8
| S/N | 13.7 | 24.1 | 25.7
| S/N(c) | 17.8 | 4.7 | 46.8
| SN(E/C) | 0.34
|
|
|
|
|
|
|
4870018
| 47
| | Red | Green | Blue
| z | | 19.09
| znorm | | 14.91
| sky | 14.7 | 14.8 | 14.8
| S/N | 14.3 | 24.9 | 26.2
| S/N(c) | 18.5 | 4.8 | 47.5
| SN(E/C) | 0.36
|
|
|
|
|
|
|