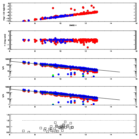
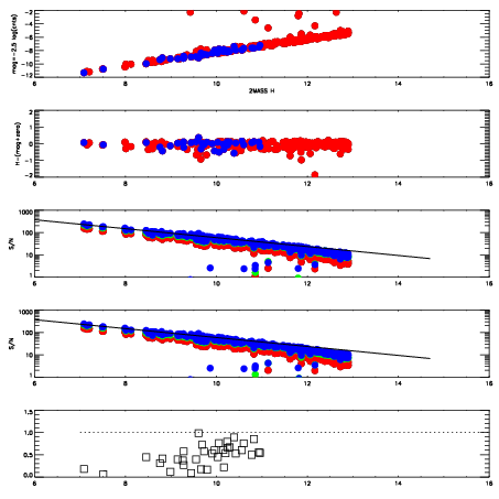
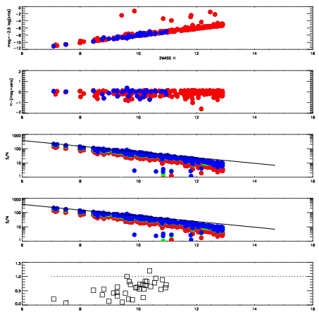
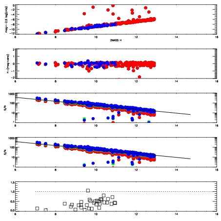
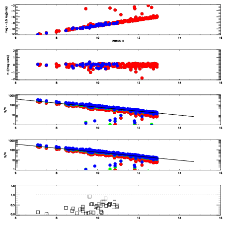
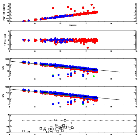
Frame | Nreads | Zeropoints | Mag plots
| Spatial mag deviation
| Spatial sky 16325A emission deviations (filled: sky, open: star)
| Spatial sky continuum emission
| Spatial sky telluric CO2 absorption deviations (filled: H < 10)
|
4910010
| 47
| | Red | Green | Blue
| z | | 18.84
| znorm | | 14.66
| sky | 14.2 | 14.1 | 14.1
| S/N | 12.8 | 22.1 | 23.0
| S/N(c) | 24.9 | 10.4 | 26.3
| SN(E/C) | 0.42
|
|
|
|
|
|
|
4910011
| 47
| | Red | Green | Blue
| z | | 18.09
| znorm | | 13.91
| sky | 13.9 | 13.9 | 14.0
| S/N | 6.7 | 12.9 | 13.2
| S/N(c) | 14.8 | 6.8 | 17.7
| SN(E/C) | 0.60
|
|
|
|
|
|
|
4910012
| 47
| | Red | Green | Blue
| z | | 18.01
| znorm | | 13.83
| sky | 13.7 | 13.8 | 14.0
| S/N | 6.5 | 11.9 | 12.9
| S/N(c) | 14.3 | 6.7 | 17.0
| SN(E/C) | 0.56
|
|
|
|
|
|
|
4910013
| 47
| | Red | Green | Blue
| z | | 18.01
| znorm | | 13.83
| sky | 13.8 | 13.7 | 13.8
| S/N | 6.4 | 12.3 | 12.7
| S/N(c) | 14.5 | 6.5 | 16.9
| SN(E/C) | 0.59
|
|
|
|
|
|
|
4910014
| 47
| | Red | Green | Blue
| z | | 18.33
| znorm | | 14.15
| sky | 13.8 | 13.8 | 13.9
| S/N | 8.4 | 15.2 | 15.6
| S/N(c) | 17.8 | 7.7 | 20.0
| SN(E/C) | 0.53
|
|
|
|
|
|
|
4910015
| 47
| | Red | Green | Blue
| z | | 18.94
| znorm | | 14.76
| sky | 14.8 | 14.5 | 14.6
| S/N | 13.4 | 22.9 | 24.2
| S/N(c) | 25.9 | 10.7 | 28.1
| SN(E/C) | 0.39
|
|
|
|
|
|
|
4910016
| 47
| | Red | Green | Blue
| z | | 18.88
| znorm | | 14.70
| sky | 14.6 | 14.5 | 14.6
| S/N | 13.3 | 22.4 | 23.6
| S/N(c) | 24.5 | 10.5 | 27.2
| SN(E/C) | 0.42
|
|
|
|
|
|
|
4910017
| 47
| | Red | Green | Blue
| z | | 18.93
| znorm | | 14.75
| sky | 14.6 | 14.6 | 14.6
| S/N | 13.2 | 22.7 | 24.5
| S/N(c) | 25.5 | 10.8 | 28.6
| SN(E/C) | 0.41
|
|
|
|
|
|
|