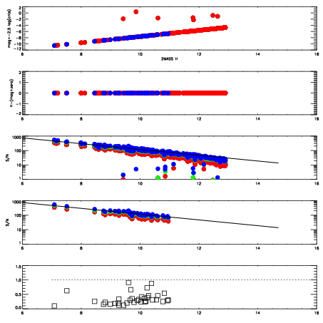
Left plots: red are targets, blue are telluric. Observed mags are calculated from median value of green chip. Zeropoint gives overall throughput: bigger number is more throughput.
First spatial plots: circles are objects, squares are tellurics, crosses are sky fibers. Colors give deviation of observed mag from expected 2MASS mag using the median zeropoint; red is brighter
Second spatial plots: circles are sky fibers. Colors give sky line brightness relative to plate median sky line brightness
FrameNreadsZeropointsMag plots Spatial mag deviation Spatial sky 16325A emission deviations (filled: sky, open: star) Spatial sky continuum emission Spatial sky telluric CO2 absorption deviations (filled: H < 10)
0 0
RedGreenBlue
z17.64
znorm Inf
sky -Inf -Inf -Inf
S/N 18.7 34.1 36.5
S/N(c) 0.0 0.0 0.0
SN(E/C) 0.30

IPAIRNAMESHIFTNEWSHIFTS/N NAMESHIFTNEWSHIFTS/N
0 04910012 0.485163 0.00000 17.9892 04910013 0.000555809 0.484607 17.9870
1 04910015 0.483177 0.00198600 18.9037 04910017 0.000243023 0.484920 18.8957
2 04910016 0.484049 0.00111401 18.8392 04910010 0.00000 0.485163 18.8089
3 04910011 0.484200 0.000963002 18.0501 04910014 -0.000746765 0.485910 18.2904