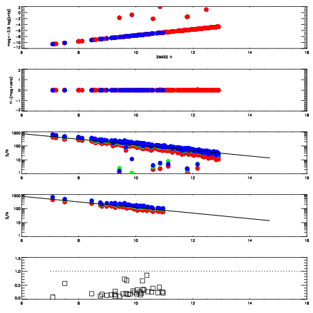
Left plots: red are targets, blue are telluric. Observed mags are calculated from median value of green chip. Zeropoint gives overall throughput: bigger number is more throughput.
First spatial plots: circles are objects, squares are tellurics, crosses are sky fibers. Colors give deviation of observed mag from expected 2MASS mag using the median zeropoint; red is brighter
Second spatial plots: circles are sky fibers. Colors give sky line brightness relative to plate median sky line brightness
FrameNreadsZeropointsMag plots Spatial mag deviation Spatial sky 16325A emission deviations (filled: sky, open: star) Spatial sky continuum emission Spatial sky telluric CO2 absorption deviations (filled: H < 10)
0 0
RedGreenBlue
z17.64
znorm Inf
sky -NaN -Inf -Inf
S/N 24.6 43.3 46.4
S/N(c) 0.0 0.0 0.0
SN(E/C) 0.23

IPAIRNAMESHIFTNEWSHIFTS/N NAMESHIFTNEWSHIFTS/N
0 08430027 0.485301 0.00000 19.0417 08430029 0.00166164 0.483639 19.0241
1 08430028 0.485231 6.99759e-05 19.0824 08430026 0.00000 0.485301 19.0800
2 08430031 0.483560 0.00174099 18.9471 08430033 0.00149695 0.483804 19.0175
3 08430032 0.483922 0.00137898 18.9306 08430030 0.00231374 0.482987 19.0004