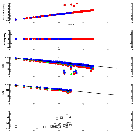
Left plots: red are targets, blue are telluric. Observed mags are calculated from median value of green chip. Zeropoint gives overall throughput: bigger number is more throughput.
First spatial plots: circles are objects, squares are tellurics, crosses are sky fibers. Colors give deviation of observed mag from expected 2MASS mag using the median zeropoint; red is brighter
Second spatial plots: circles are sky fibers. Colors give sky line brightness relative to plate median sky line brightness
FrameNreadsZeropointsMag plots Spatial mag deviation Spatial sky 16325A emission deviations (filled: sky, open: star) Spatial sky continuum emission Spatial sky telluric CO2 absorption deviations (filled: H < 10)
0 0
RedGreenBlue
z17.64
znorm Inf
sky -Inf -Inf -Inf
S/N 23.3 39.3 42.7
S/N(c) 0.0 0.0 0.0
SN(E/C) 0.25

IPAIRNAMESHIFTNEWSHIFTS/N NAMESHIFTNEWSHIFTS/N
0 08480013 0.487508 0.00000 18.7176 08480014 -0.883384 1.37089 18.0396
1 08480016 0.00449257 0.483015 18.9875 08480015 -0.485243 0.972751 19.0688
2 08480017 0.00467747 0.482831 18.9666 08480018 -0.483471 0.970979 18.9707
3 08480012 0.486816 0.000692010 18.7515 08480011 0.00000 0.487508 18.4856