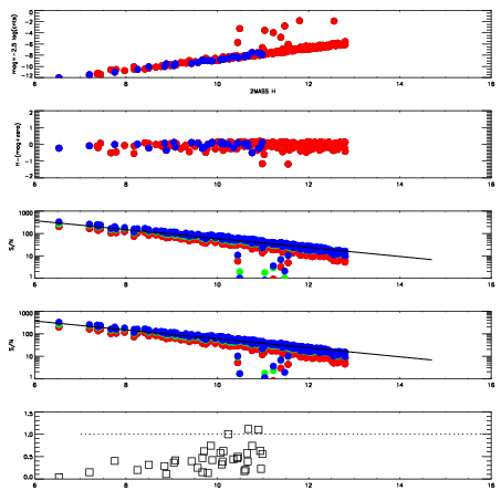
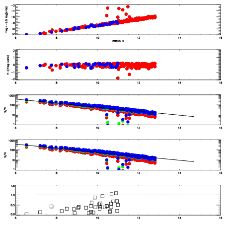
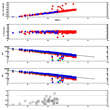
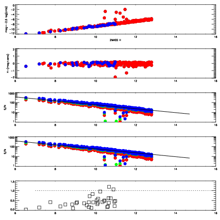
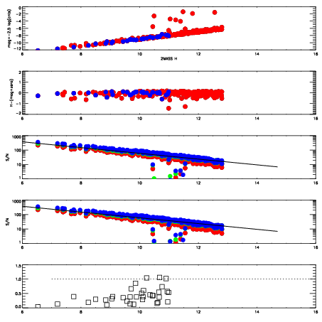
Frame | Nreads | Zeropoints | Mag plots
| Spatial mag deviation
| Spatial sky 16325A emission deviations (filled: sky, open: star)
| Spatial sky continuum emission
| Spatial sky telluric CO2 absorption deviations (filled: H < 10)
|
10800100
| 47
| | Red | Green | Blue
| z | | 19.05
| znorm | | 14.87
| sky | 14.6 | 14.3 | 14.2
| S/N | 15.3 | 24.9 | 26.0
| S/N(c) | 21.1 | 15.9 | 39.8
| SN(E/C) | 0.37
|
|
|
|
|
|
|
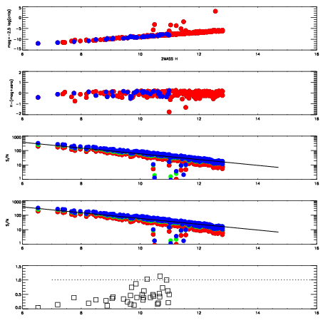
10800101
| 47
| | Red | Green | Blue
| z | | 19.13
| znorm | | 14.95
| sky | 14.6 | 14.4 | 14.4
| S/N | 16.2 | 26.0 | 27.3
| S/N(c) | 22.0 | 16.6 | 41.6
| SN(E/C) | 0.36
|
|
|
|
|
|
|
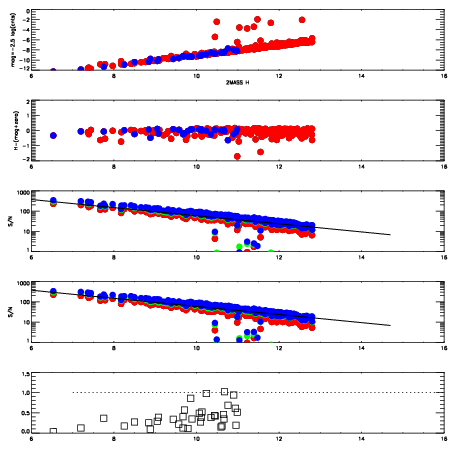
10800102
| 47
| | Red | Green | Blue
| z | | 19.00
| znorm | | 14.82
| sky | 14.6 | 14.4 | 14.3
| S/N | 14.6 | 24.2 | 25.5
| S/N(c) | 20.1 | 15.6 | 38.9
| SN(E/C) | 0.38
|
|
|
|
|
|
|
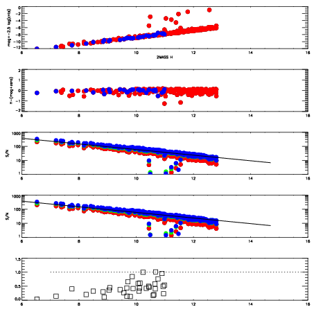
10800103
| 47
| | Red | Green | Blue
| z | | 18.81
| znorm | | 14.63
| sky | 14.6 | 14.4 | 14.6
| S/N | 13.1 | 21.9 | 23.0
| S/N(c) | 18.0 | 14.1 | 35.0
| SN(E/C) | 0.41
|
|
|
|
|
|
|
10800104
| 47
| | Red | Green | Blue
| z | | 18.78
| znorm | | 14.60
| sky | 14.9 | 14.6 | 14.5
| S/N | 12.8 | 21.5 | 22.5
| S/N(c) | 17.8 | 14.0 | 34.5
| SN(E/C) | 0.40
|
|
|
|
|
|
|
10800105
| 47
| | Red | Green | Blue
| z | | 18.85
| znorm | | 14.67
| sky | 14.6 | 14.5 | 14.5
| S/N | 13.5 | 22.1 | 22.9
| S/N(c) | 18.6 | 15.0 | 36.6
| SN(E/C) | 0.42
|
|
|
|
|
|
|
10800106
| 47
| | Red | Green | Blue
| z | | 18.81
| znorm | | 14.63
| sky | 14.8 | 14.5 | 14.5
| S/N | 13.1 | 22.1 | 23.0
| S/N(c) | 18.5 | 14.7 | 36.2
| SN(E/C) | 0.39
|
|
|
|
|
|
|
10800107
| 47
| | Red | Green | Blue
| z | | 18.87
| znorm | | 14.69
| sky | 14.7 | 14.6 | 14.5
| S/N | 13.7 | 22.9 | 23.9
| S/N(c) | 19.2 | 15.2 | 37.4
| SN(E/C) | 0.39
|
|
|
|
|
|
|
10800108
| 47
| | Red | Green | Blue
| z | | 18.87
| znorm | | 14.69
| sky | 14.7 | 14.5 | 14.5
| S/N | 13.8 | 22.7 | 23.9
| S/N(c) | 19.1 | 15.2 | 37.1
| SN(E/C) | 0.39
|
|
|
|
|
|
|
10800109
| 47
| | Red | Green | Blue
| z | | 18.82
| znorm | | 14.64
| sky | 14.7 | 14.4 | 14.5
| S/N | 13.3 | 21.8 | 23.2
| S/N(c) | 18.6 | 14.7 | 36.3
| SN(E/C) | 0.40
|
|
|
|
|
|
|