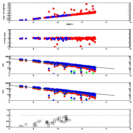
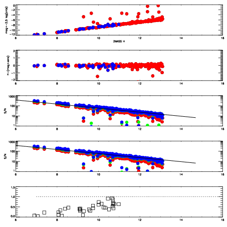
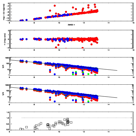
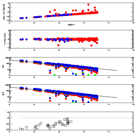
Left plots: red are targets, blue are telluric. Observed mags are calculated from median value of green chip. Zeropoint gives overall throughput: bigger number is more throughput.
First spatial plots: circles are objects, squares are tellurics, crosses are sky fibers. Colors give deviation of observed mag from expected 2MASS mag using the median zeropoint; red is brighter
Second spatial plots: circles are sky fibers. Colors give sky line brightness relative to plate median sky line brightness
FrameNreadsZeropointsMag plots Spatial mag deviation Spatial sky 16325A emission deviations (filled: sky, open: star) Spatial sky continuum emission Spatial sky telluric CO2 absorption deviations (filled: H < 10)
4270025 47
RedGreenBlue
z18.63
znorm14.45
sky 15.0 14.7 14.4
S/N 12.7 21.3 21.6
S/N(c) 15.1 18.9 15.0
SN(E/C) 0.45
4270026 47
RedGreenBlue
z18.83
znorm14.65
sky 15.4 15.0 14.7
S/N 13.6 23.2 24.0
S/N(c) 16.6 21.0 16.6
SN(E/C) 0.43
4270027 47
RedGreenBlue
z18.79
znorm14.61
sky 14.9 15.1 14.7
S/N 12.9 22.4 23.1
S/N(c) 16.0 20.6 16.2
SN(E/C) 0.44
4270028 47
RedGreenBlue
z18.70
znorm14.52
sky 15.4 15.0 14.8
S/N 12.5 21.4 22.2
S/N(c) 15.1 19.7 15.6
SN(E/C) 0.46