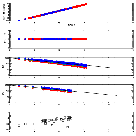
Left plots: red are targets, blue are telluric. Observed mags are calculated from median value of green chip. Zeropoint gives overall throughput: bigger number is more throughput.
First spatial plots: circles are objects, squares are tellurics, crosses are sky fibers. Colors give deviation of observed mag from expected 2MASS mag using the median zeropoint; red is brighter
Second spatial plots: circles are sky fibers. Colors give sky line brightness relative to plate median sky line brightness
FrameNreadsZeropointsMag plots Spatial mag deviation Spatial sky 16325A emission deviations (filled: sky, open: star) Spatial sky continuum emission Spatial sky telluric CO2 absorption deviations (filled: H < 10)
0 0
RedGreenBlue
z17.64
znorm Inf
sky -Inf -NaN -Inf
S/N 25.0 44.6 47.5
S/N(c) 0.0 0.0 0.0
SN(E/C) 0.81

IPAIRNAMESHIFTNEWSHIFTS/N NAMESHIFTNEWSHIFTS/N
0 06990094 0.481542 0.00000 19.1099 06990096 -0.00115834 0.482700 19.1162
1 06990097 0.479002 0.00253999 19.0973 06990095 -0.00161418 0.483156 19.0876
2 06990098 0.481049 0.000492990 19.0766 06990092 0.00000 0.481542 19.0416
3 06990093 0.477722 0.00382000 19.0574 06990099 -0.00107244 0.482614 18.7000
4 06990101 0.478998 0.00254399 18.1701 06990100 0.00102948 0.480512 18.6661