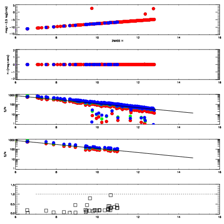
Left plots: red are targets, blue are telluric. Observed mags are calculated from median value of green chip. Zeropoint gives overall throughput: bigger number is more throughput.
First spatial plots: circles are objects, squares are tellurics, crosses are sky fibers. Colors give deviation of observed mag from expected 2MASS mag using the median zeropoint; red is brighter
Second spatial plots: circles are sky fibers. Colors give sky line brightness relative to plate median sky line brightness
FrameNreadsZeropointsMag plots Spatial mag deviation Spatial sky 16325A emission deviations (filled: sky, open: star) Spatial sky continuum emission Spatial sky telluric CO2 absorption deviations (filled: H < 10)
0 0
RedGreenBlue
z17.64
znorm Inf
sky -Inf -Inf -Inf
S/N 30.5 49.4 54.0
S/N(c) 0.0 0.0 0.0
SN(E/C) 0.20

IPAIRNAMESHIFTNEWSHIFTS/N NAMESHIFTNEWSHIFTS/N
0 04060054 0.494307 0.00000 19.1118 04060052 -0.00122950 0.495537 19.1013
1 04060050 0.491569 0.00273800 19.1465 04060048 0.00000 0.494307 19.1149
2 04060053 0.492987 0.00132000 19.1348 04060051 -0.000788577 0.495096 19.1113
3 04060049 0.490241 0.00406602 19.1173 04060055 0.00145444 0.492853 19.1029