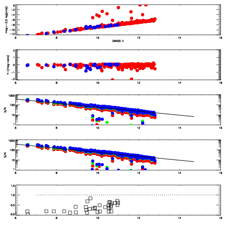
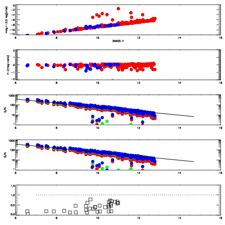
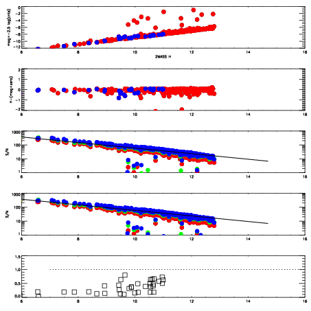
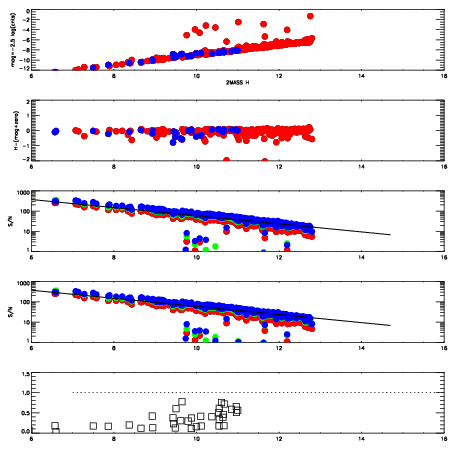
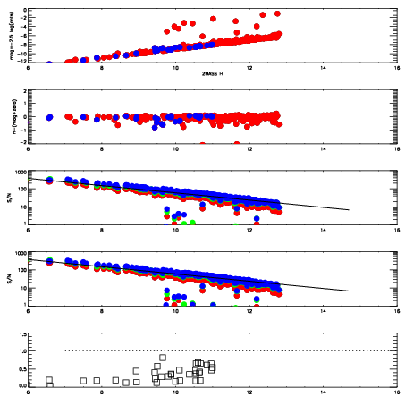
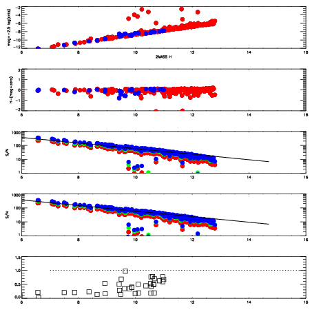
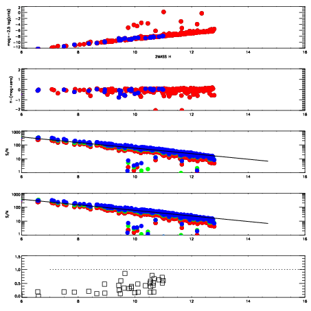
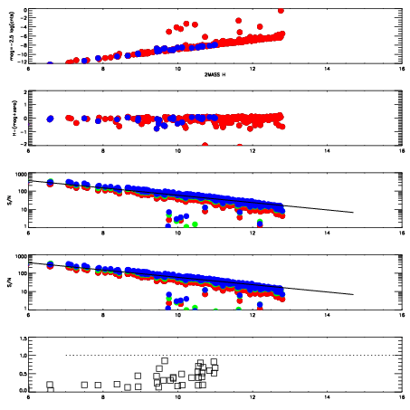
Frame | Nreads | Zeropoints | Mag plots
| Spatial mag deviation
| Spatial sky 16325A emission deviations (filled: sky, open: star)
| Spatial sky continuum emission
| Spatial sky telluric CO2 absorption deviations (filled: H < 10)
|
4600036
| 47
| | Red | Green | Blue
| z | | 18.89
| znorm | | 14.71
| sky | 12.9 | 12.8 | 12.7
| S/N | 12.7 | 19.5 | 20.4
| S/N(c) | 23.4 | 25.7 | 12.0
| SN(E/C) | 0.39
|
|
|
|
|
|
|
4600037
| 47
| | Red | Green | Blue
| z | | 18.90
| znorm | | 14.72
| sky | 13.0 | 12.9 | 12.9
| S/N | 12.8 | 19.7 | 21.3
| S/N(c) | 23.3 | 25.5 | 12.1
| SN(E/C) | 0.38
|
|
|
|
|
|
|
4600038
| 47
| | Red | Green | Blue
| z | | 18.90
| znorm | | 14.72
| sky | 12.9 | 12.8 | 12.8
| S/N | 12.4 | 19.4 | 21.2
| S/N(c) | 23.2 | 25.5 | 11.9
| SN(E/C) | 0.39
|
|
|
|
|
|
|
4600039
| 47
| | Red | Green | Blue
| z | | 19.04
| znorm | | 14.86
| sky | 13.3 | 13.2 | 13.2
| S/N | 14.3 | 22.1 | 24.4
| S/N(c) | 25.4 | 27.9 | 13.0
| SN(E/C) | 0.34
|
|
|
|
|
|
|
4600040
| 47
| | Red | Green | Blue
| z | | 18.98
| znorm | | 14.80
| sky | 13.1 | 13.0 | 13.0
| S/N | 13.5 | 20.7 | 23.3
| S/N(c) | 24.1 | 26.4 | 12.5
| SN(E/C) | 0.35
|
|
|
|
|
|
|
4600041
| 47
| | Red | Green | Blue
| z | | 18.73
| znorm | | 14.55
| sky | 12.6 | 12.5 | 12.5
| S/N | 10.7 | 16.7 | 18.0
| S/N(c) | 19.6 | 22.0 | 10.4
| SN(E/C) | 0.39
|
|
|
|
|
|
|
4600042
| 47
| | Red | Green | Blue
| z | | 18.97
| znorm | | 14.79
| sky | 13.2 | 13.1 | 13.1
| S/N | 13.3 | 20.9 | 23.3
| S/N(c) | 23.6 | 26.8 | 12.4
| SN(E/C) | 0.36
|
|
|
|
|
|
|
4600043
| 47
| | Red | Green | Blue
| z | | 18.92
| znorm | | 14.74
| sky | 13.0 | 13.0 | 13.0
| S/N | 12.8 | 19.6 | 22.2
| S/N(c) | 22.9 | 25.6 | 11.9
| SN(E/C) | 0.37
|
|
|
|
|
|
|