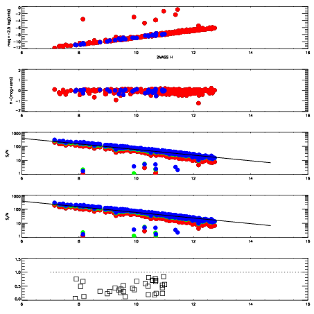
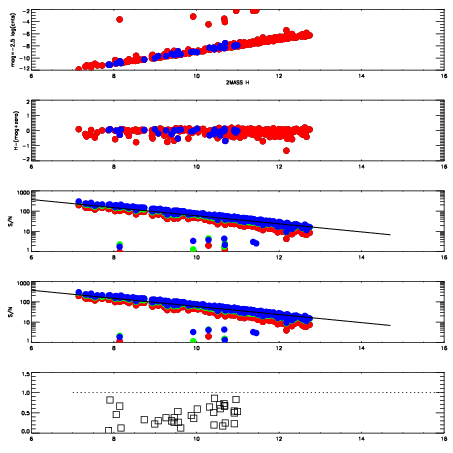
Frame | Nreads | Zeropoints | Mag plots
| Spatial mag deviation
| Spatial sky 16325A emission deviations (filled: sky, open: star)
| Spatial sky continuum emission
| Spatial sky telluric CO2 absorption deviations (filled: H < 10)
|
4030062
| 47
| | Red | Green | Blue
| z | | 18.24
| znorm | | 14.06
| sky | 14.2 | 14.1 | 14.1
| S/N | 8.1 | 14.5 | 14.1
| S/N(c) | 16.9 | 11.3 | 15.4
| SN(E/C) | 0.56
|
|
|
|
|
|
|
4030063
| 47
| | Red | Green | Blue
| z | | 18.40
| znorm | | 14.22
| sky | 14.0 | 13.9 | 13.9
| S/N | 9.0 | 15.5 | 16.0
| S/N(c) | 18.6 | 12.2 | 16.9
| SN(E/C) | 0.54
|
|
|
|
|
|
|
4030064
| 47
| | Red | Green | Blue
| z | | 18.48
| znorm | | 14.30
| sky | 14.1 | 14.0 | 14.1
| S/N | 9.4 | 16.7 | 16.9
| S/N(c) | 19.8 | 12.8 | 17.8
| SN(E/C) | 0.53
|
|
|
|
|
|
|
4030065
| 47
| | Red | Green | Blue
| z | | 18.84
| znorm | | 14.66
| sky | 14.2 | 14.0 | 14.1
| S/N | 12.0 | 20.1 | 20.9
| S/N(c) | 24.7 | 15.6 | 21.7
| SN(E/C) | 0.46
|
|
|
|
|
|
|
4030066
| 47
| | Red | Green | Blue
| z | | 18.85
| znorm | | 14.67
| sky | 14.1 | 14.0 | 14.0
| S/N | 11.6 | 20.0 | 21.0
| S/N(c) | 24.8 | 15.4 | 22.1
| SN(E/C) | 0.45
|
|
|
|
|
|
|
4030067
| 47
| | Red | Green | Blue
| z | | 18.89
| znorm | | 14.71
| sky | 14.1 | 14.0 | 13.9
| S/N | 12.0 | 20.2 | 21.1
| S/N(c) | 25.3 | 15.8 | 22.2
| SN(E/C) | 0.44
|
|
|
|
|
|
|
4030068
| 47
| | Red | Green | Blue
| z | | 18.95
| znorm | | 14.77
| sky | 14.0 | 13.9 | 13.9
| S/N | 12.7 | 20.7 | 21.8
| S/N(c) | 26.1 | 16.3 | 22.9
| SN(E/C) | 0.43
|
|
|
|
|
|
|
4030069
| 47
| | Red | Green | Blue
| z | | 18.93
| znorm | | 14.75
| sky | 13.9 | 13.9 | 13.8
| S/N | 12.1 | 20.3 | 21.7
| S/N(c) | 25.7 | 16.0 | 22.6
| SN(E/C) | 0.46
|
|
|
|
|
|
|