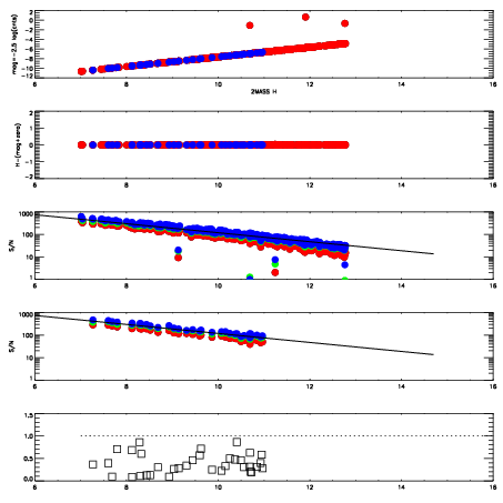
Left plots: red are targets, blue are telluric. Observed mags are calculated from median value of green chip. Zeropoint gives overall throughput: bigger number is more throughput.
First spatial plots: circles are objects, squares are tellurics, crosses are sky fibers. Colors give deviation of observed mag from expected 2MASS mag using the median zeropoint; red is brighter
Second spatial plots: circles are sky fibers. Colors give sky line brightness relative to plate median sky line brightness
FrameNreadsZeropointsMag plots Spatial mag deviation Spatial sky 16325A emission deviations (filled: sky, open: star) Spatial sky continuum emission Spatial sky telluric CO2 absorption deviations (filled: H < 10)
0 0
RedGreenBlue
z17.64
znorm Inf
sky -Inf -Inf -Inf
S/N 23.1 40.2 42.9
S/N(c) 0.0 0.0 0.0
SN(E/C) 0.33

IPAIRNAMESHIFTNEWSHIFTS/N NAMESHIFTNEWSHIFTS/N
0 08410013 0.508083 0.00000 18.6963 08410014 0.00185292 0.506230 18.6793
1 08410017 0.505212 0.00287098 18.8979 08410018 0.00391671 0.504166 18.9174
2 08410016 0.504475 0.00360799 18.8706 08410015 0.00122454 0.506858 18.7463
3 08410012 0.507266 0.000817001 18.7263 08410011 0.00000 0.508083 18.7133