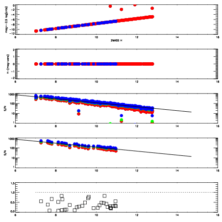
Left plots: red are targets, blue are telluric. Observed mags are calculated from median value of green chip. Zeropoint gives overall throughput: bigger number is more throughput.
First spatial plots: circles are objects, squares are tellurics, crosses are sky fibers. Colors give deviation of observed mag from expected 2MASS mag using the median zeropoint; red is brighter
Second spatial plots: circles are sky fibers. Colors give sky line brightness relative to plate median sky line brightness
FrameNreadsZeropointsMag plots Spatial mag deviation Spatial sky 16325A emission deviations (filled: sky, open: star) Spatial sky continuum emission Spatial sky telluric CO2 absorption deviations (filled: H < 10)
0 0
RedGreenBlue
z17.64
znorm Inf
sky -Inf -NaN -Inf
S/N 24.2 41.9 45.7
S/N(c) 0.0 0.0 0.0
SN(E/C) 0.32

IPAIRNAMESHIFTNEWSHIFTS/N NAMESHIFTNEWSHIFTS/N
0 08470036 0.487137 0.00000 18.9577 08470038 0.00371556 0.483421 18.5224
1 08470040 0.486268 0.000868976 19.0203 08470041 0.00409252 0.483044 18.9715
2 08470039 0.485154 0.00198299 18.9817 08470034 0.00000 0.487137 18.9382
3 08470035 0.486902 0.000234991 18.9805 08470037 0.00626143 0.480876 18.7513