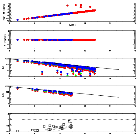
Left plots: red are targets, blue are telluric. Observed mags are calculated from median value of green chip. Zeropoint gives overall throughput: bigger number is more throughput.
First spatial plots: circles are objects, squares are tellurics, crosses are sky fibers. Colors give deviation of observed mag from expected 2MASS mag using the median zeropoint; red is brighter
Second spatial plots: circles are sky fibers. Colors give sky line brightness relative to plate median sky line brightness
FrameNreadsZeropointsMag plots Spatial mag deviation Spatial sky 16325A emission deviations (filled: sky, open: star) Spatial sky continuum emission Spatial sky telluric CO2 absorption deviations (filled: H < 10)
0 0
RedGreenBlue
z17.64
znorm Inf
sky -Inf -Inf -Inf
S/N 14.3 25.3 28.4
S/N(c) 0.0 0.0 0.0
SN(E/C) 0.36

IPAIRNAMESHIFTNEWSHIFTS/N NAMESHIFTNEWSHIFTS/N
0 11730049 0.492082 0.00000 17.0498 11730051 -0.00447683 0.496559 17.1572
1 11730046 0.491070 0.00101200 18.7613 11730047 -0.00316116 0.495243 18.7124
2 11730045 0.491153 0.000928998 18.1671 11730048 -0.00337365 0.495456 18.5724
3 11730050 0.491520 0.000562012 17.4362 11730044 0.00000 0.492082 18.5696