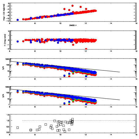
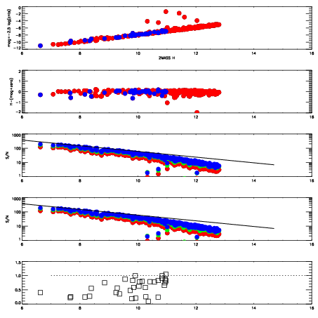
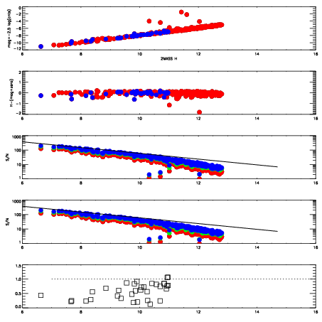
Frame | Nreads | Zeropoints | Mag plots
| Spatial mag deviation
| Spatial sky 16325A emission deviations (filled: sky, open: star)
| Spatial sky continuum emission
| Spatial sky telluric CO2 absorption deviations (filled: H < 10)
|
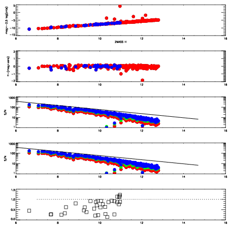
11970033
| 47
| | Red | Green | Blue
| z | | 18.35
| znorm | | 14.17
| sky | 12.7 | 12.6 | 12.6
| S/N | 7.7 | 12.3 | 13.5
| S/N(c) | 10.2 | 9.6 | 2.5
| SN(E/C) | 0.53
|
|
|
|
|
|
|
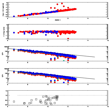
11970034
| 47
| | Red | Green | Blue
| z | | 18.38
| znorm | | 14.20
| sky | 12.7 | 12.6 | 12.6
| S/N | 7.5 | 12.7 | 13.8
| S/N(c) | 10.0 | 9.9 | 2.6
| SN(E/C) | 0.53
|
|
|
|
|
|
|
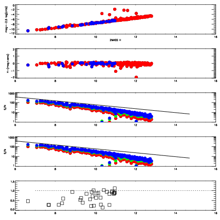
11970035
| 47
| | Red | Green | Blue
| z | | 18.05
| znorm | | 13.87
| sky | 12.4 | 12.4 | 12.4
| S/N | 5.7 | 9.3 | 10.5
| S/N(c) | 7.7 | 7.6 | 2.1
| SN(E/C) | 0.61
|
|
|
|
|
|
|
11970036
| 47
| | Red | Green | Blue
| z | | 17.94
| znorm | | 13.76
| sky | 12.4 | 12.4 | 12.4
| S/N | 5.0 | 8.3 | 9.8
| S/N(c) | 7.1 | 7.2 | 1.9
| SN(E/C) | 0.62
|
|
|
|
|
|
|
11970037
| 47
| | Red | Green | Blue
| z | | 17.92
| znorm | | 13.74
| sky | 12.4 | 12.3 | 12.4
| S/N | 5.0 | 8.3 | 9.5
| S/N(c) | 7.1 | 6.9 | 1.9
| SN(E/C) | 0.63
|
|
|
|
|
|
|
11970038
| 47
| | Red | Green | Blue
| z | | 17.50
| znorm | | 13.32
| sky | 12.3 | 12.2 | 12.3
| S/N | 3.3 | 5.9 | 7.3
| S/N(c) | 4.9 | 5.0 | 1.4
| SN(E/C) | 0.71
|
|
|
|
|
|
|
11970039
| 47
| | Red | Green | Blue
| z | | 17.65
| znorm | | 13.47
| sky | 12.4 | 12.3 | 12.4
| S/N | 3.7 | 6.6 | 8.2
| S/N(c) | 5.7 | 5.7 | 1.5
| SN(E/C) | 0.71
|
|
|
|
|
|
|
11970040
| 47
| | Red | Green | Blue
| z | | 17.88
| znorm | | 13.70
| sky | 12.4 | 12.4 | 12.5
| S/N | 4.7 | 8.2 | 9.6
| S/N(c) | 6.9 | 6.8 | 1.8
| SN(E/C) | 0.67
|
|
|
|
|
|
|