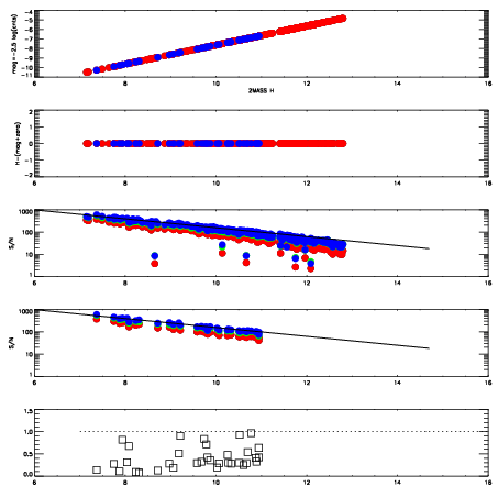
Left plots: red are targets, blue are telluric. Observed mags are calculated from median value of green chip. Zeropoint gives overall throughput: bigger number is more throughput.
First spatial plots: circles are objects, squares are tellurics, crosses are sky fibers. Colors give deviation of observed mag from expected 2MASS mag using the median zeropoint; red is brighter
Second spatial plots: circles are sky fibers. Colors give sky line brightness relative to plate median sky line brightness
FrameNreadsZeropointsMag plots Spatial mag deviation Spatial sky 16325A emission deviations (filled: sky, open: star) Spatial sky continuum emission Spatial sky telluric CO2 absorption deviations (filled: H < 10)
0 0
RedGreenBlue
z17.64
znorm Inf
sky -NaN -NaN -NaN
S/N 19.8 38.3 39.9
S/N(c) 0.0 0.0 0.0
SN(E/C) 0.32

IPAIRNAMESHIFTNEWSHIFTS/N NAMESHIFTNEWSHIFTS/N
0 11110098 0.483404 0.00000 18.0106 11110096 0.00000 0.483404 18.1041
1 11110106 0.476540 0.00686401 18.6667 11110104 -0.00467222 0.488076 18.5582
2 11110109 0.477524 0.00588000 18.4909 11110108 -0.00745840 0.490862 18.5535
3 11110105 0.476468 0.00693601 18.4310 11110107 -0.00772961 0.491134 18.5426
4 11110101 0.479161 0.00424302 18.2143 11110103 -0.00501751 0.488422 18.3790
5 11110102 0.478438 0.00496602 18.1072 11110099 -0.00335492 0.486759 18.1654
6 11110097 0.483105 0.000299007 18.0636 11110100 -0.00239361 0.485798 18.1235