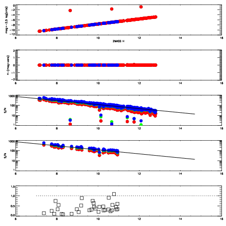
Left plots: red are targets, blue are telluric. Observed mags are calculated from median value of green chip. Zeropoint gives overall throughput: bigger number is more throughput.
First spatial plots: circles are objects, squares are tellurics, crosses are sky fibers. Colors give deviation of observed mag from expected 2MASS mag using the median zeropoint; red is brighter
Second spatial plots: circles are sky fibers. Colors give sky line brightness relative to plate median sky line brightness
FrameNreadsZeropointsMag plots Spatial mag deviation Spatial sky 16325A emission deviations (filled: sky, open: star) Spatial sky continuum emission Spatial sky telluric CO2 absorption deviations (filled: H < 10)
0 0
RedGreenBlue
z17.64
znorm Inf
sky -NaN -Inf -NaN
S/N 21.8 38.5 41.7
S/N(c) 0.0 0.0 0.0
SN(E/C) 0.34

IPAIRNAMESHIFTNEWSHIFTS/N NAMESHIFTNEWSHIFTS/N
0 11640063 0.490883 0.00000 18.8878 11640068 -0.00290894 0.493792 18.8410
1 11640067 0.489566 0.00131699 18.9142 11640065 -0.00173804 0.492621 18.8519
2 11640066 0.489856 0.00102699 18.9104 11640064 -0.00277611 0.493659 18.8487
3 11640062 0.489943 0.000939995 18.8585 11640061 0.00000 0.490883 18.6361