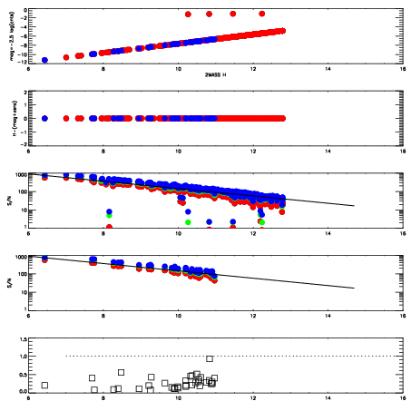
Left plots: red are targets, blue are telluric. Observed mags are calculated from median value of green chip. Zeropoint gives overall throughput: bigger number is more throughput.
First spatial plots: circles are objects, squares are tellurics, crosses are sky fibers. Colors give deviation of observed mag from expected 2MASS mag using the median zeropoint; red is brighter
Second spatial plots: circles are sky fibers. Colors give sky line brightness relative to plate median sky line brightness
FrameNreadsZeropointsMag plots Spatial mag deviation Spatial sky 16325A emission deviations (filled: sky, open: star) Spatial sky continuum emission Spatial sky telluric CO2 absorption deviations (filled: H < 10)
0 0
RedGreenBlue
z17.64
znorm Inf
sky -NaN -Inf -Inf
S/N 32.5 57.5 59.9
S/N(c) 0.0 0.0 0.0
SN(E/C) 0.25

IPAIRNAMESHIFTNEWSHIFTS/N NAMESHIFTNEWSHIFTS/N
0 11140100 0.485583 0.00000 19.0814 11140101 0.000248536 0.485334 19.1326
1 11140107 0.481325 0.00425801 19.1619 11140106 -0.00257369 0.488157 19.1707
2 11140104 0.483951 0.00163200 19.1544 11140105 -0.00284856 0.488432 19.1540
3 11140108 0.482116 0.00346699 19.1495 11140109 -0.00236516 0.487948 19.1419
4 11140103 0.483460 0.00212300 19.1376 11140102 0.00100156 0.484581 19.1363
5 11140099 0.484935 0.000648022 19.0599 11140098 0.00000 0.485583 19.0419