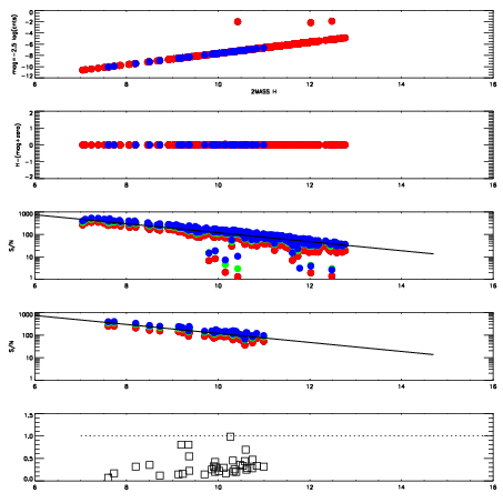
Left plots: red are targets, blue are telluric. Observed mags are calculated from median value of green chip. Zeropoint gives overall throughput: bigger number is more throughput.
First spatial plots: circles are objects, squares are tellurics, crosses are sky fibers. Colors give deviation of observed mag from expected 2MASS mag using the median zeropoint; red is brighter
Second spatial plots: circles are sky fibers. Colors give sky line brightness relative to plate median sky line brightness
FrameNreadsZeropointsMag plots Spatial mag deviation Spatial sky 16325A emission deviations (filled: sky, open: star) Spatial sky continuum emission Spatial sky telluric CO2 absorption deviations (filled: H < 10)
0 0
RedGreenBlue
z17.64
znorm Inf
sky -Inf -Inf -Inf
S/N 23.5 42.3 45.9
S/N(c) 0.0 0.0 0.0
SN(E/C) 0.29

IPAIRNAMESHIFTNEWSHIFTS/N NAMESHIFTNEWSHIFTS/N
0 11950053 0.502699 0.00000 18.8993 11950051 0.000420124 0.502279 18.9765
1 11950048 0.499116 0.00358301 18.9581 11950054 0.00118901 0.501510 18.9837
2 11950049 0.499066 0.00363302 18.9581 11950047 0.00000 0.502699 18.9815
3 11950052 0.501719 0.000980020 18.8895 11950050 -0.000664968 0.503364 18.9521