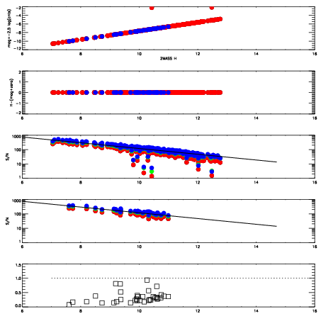
Left plots: red are targets, blue are telluric. Observed mags are calculated from median value of green chip. Zeropoint gives overall throughput: bigger number is more throughput.
First spatial plots: circles are objects, squares are tellurics, crosses are sky fibers. Colors give deviation of observed mag from expected 2MASS mag using the median zeropoint; red is brighter
Second spatial plots: circles are sky fibers. Colors give sky line brightness relative to plate median sky line brightness
FrameNreadsZeropointsMag plots Spatial mag deviation Spatial sky 16325A emission deviations (filled: sky, open: star) Spatial sky continuum emission Spatial sky telluric CO2 absorption deviations (filled: H < 10)
0 0
RedGreenBlue
z17.64
znorm Inf
sky -NaN -NaN -Inf
S/N 21.5 38.0 41.1
S/N(c) 0.0 0.0 0.0
SN(E/C) 0.30

IPAIRNAMESHIFTNEWSHIFTS/N NAMESHIFTNEWSHIFTS/N
0 12010023 0.501644 0.00000 18.8954 12010021 -0.00317019 0.504814 18.9291
1 12010024 0.501207 0.000437021 18.8768 12010022 -0.00331869 0.504963 18.8212
2 12010019 0.500277 0.00136703 18.7913 12010025 -0.000672204 0.502316 18.8187
3 12010020 0.500044 0.00160003 18.7669 12010018 0.00000 0.501644 18.6589