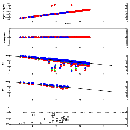
Left plots: red are targets, blue are telluric. Observed mags are calculated from median value of green chip. Zeropoint gives overall throughput: bigger number is more throughput.
First spatial plots: circles are objects, squares are tellurics, crosses are sky fibers. Colors give deviation of observed mag from expected 2MASS mag using the median zeropoint; red is brighter
Second spatial plots: circles are sky fibers. Colors give sky line brightness relative to plate median sky line brightness
FrameNreadsZeropointsMag plots Spatial mag deviation Spatial sky 16325A emission deviations (filled: sky, open: star) Spatial sky continuum emission Spatial sky telluric CO2 absorption deviations (filled: H < 10)
0 0
RedGreenBlue
z17.64
znorm Inf
sky -Inf -Inf -Inf
S/N 28.9 48.9 53.1
S/N(c) 0.0 0.0 0.0
SN(E/C) 0.37

IPAIRNAMESHIFTNEWSHIFTS/N NAMESHIFTNEWSHIFTS/N
0 04860015 0.495078 0.00000 19.0965 04860017 0.00123068 0.493847 19.1072
1 04860014 0.492107 0.00297099 19.0930 04860020 0.00111097 0.493967 19.0920
2 04860018 0.492764 0.00231400 19.0763 04860013 0.00000 0.495078 19.0671
3 04860019 0.494154 0.000923991 19.0686 04860016 0.00365393 0.491424 19.0491