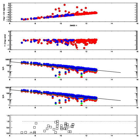
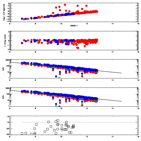
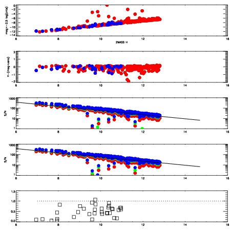
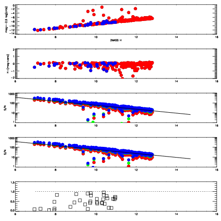
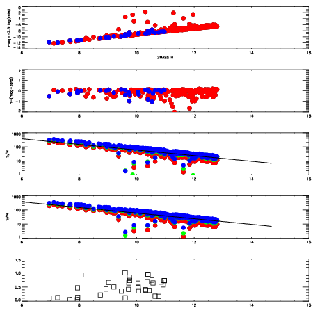
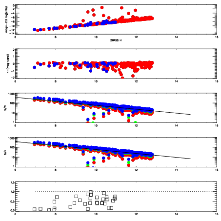
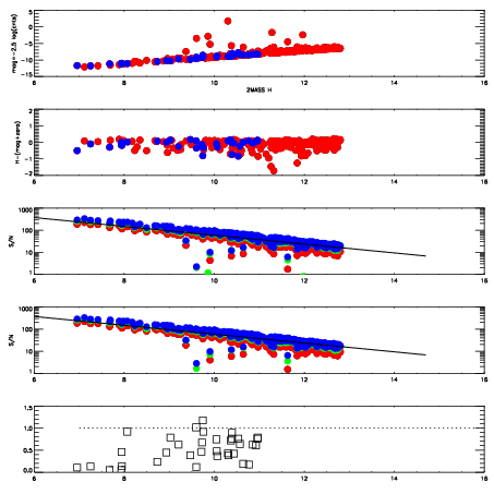
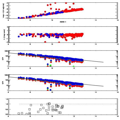
Frame | Nreads | Zeropoints | Mag plots
| Spatial mag deviation
| Spatial sky 16325A emission deviations (filled: sky, open: star)
| Spatial sky continuum emission
| Spatial sky telluric CO2 absorption deviations (filled: H < 10)
|
4900010
| 47
| | Red | Green | Blue
| z | | 19.21
| znorm | | 15.03
| sky | 14.2 | 14.0 | 13.8
| S/N | 17.0 | 27.4 | 28.5
| S/N(c) | 14.1 | 6.4 | 5.1
| SN(E/C) | 0.48
|
|
|
|
|
|
|
4900011
| 47
| | Red | Green | Blue
| z | | 19.21
| znorm | | 15.03
| sky | 14.3 | 14.3 | 14.2
| S/N | 16.7 | 27.1 | 28.6
| S/N(c) | 14.2 | 6.4 | 5.1
| SN(E/C) | 0.49
|
|
|
|
|
|
|
4900012
| 47
| | Red | Green | Blue
| z | | 19.22
| znorm | | 15.04
| sky | 14.6 | 14.5 | 14.2
| S/N | 16.8 | 26.9 | 28.5
| S/N(c) | 14.0 | 6.4 | 5.1
| SN(E/C) | 0.50
|
|
|
|
|
|
|
4900013
| 47
| | Red | Green | Blue
| z | | 19.23
| znorm | | 15.05
| sky | 14.5 | 14.4 | 14.2
| S/N | 16.9 | 27.0 | 28.5
| S/N(c) | 13.9 | 6.5 | 5.2
| SN(E/C) | 0.51
|
|
|
|
|
|
|
4900014
| 47
| | Red | Green | Blue
| z | | 19.20
| znorm | | 15.02
| sky | 14.5 | 14.4 | 14.3
| S/N | 16.3 | 26.6 | 28.0
| S/N(c) | 13.8 | 6.4 | 5.2
| SN(E/C) | 0.47
|
|
|
|
|
|
|
4900015
| 47
| | Red | Green | Blue
| z | | 19.13
| znorm | | 14.95
| sky | 14.5 | 14.4 | 14.4
| S/N | 15.7 | 25.7 | 27.3
| S/N(c) | 13.2 | 6.2 | 5.0
| SN(E/C) | 0.48
|
|
|
|
|
|
|
4900016
| 47
| | Red | Green | Blue
| z | | 19.10
| znorm | | 14.92
| sky | 14.4 | 14.5 | 14.3
| S/N | 15.1 | 25.5 | 26.5
| S/N(c) | 13.0 | 6.1 | 4.9
| SN(E/C) | 0.49
|
|
|
|
|
|
|
4900017
| 47
| | Red | Green | Blue
| z | | 18.94
| znorm | | 14.76
| sky | 14.4 | 14.4 | 14.3
| S/N | 13.7 | 23.2 | 23.9
| S/N(c) | 11.8 | 5.7 | 4.6
| SN(E/C) | 0.51
|
|
|
|
|
|
|