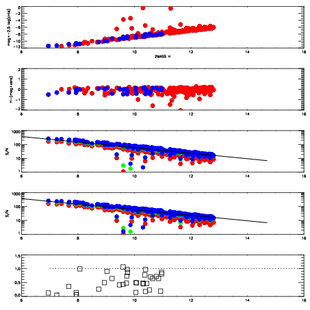
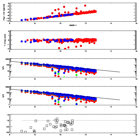
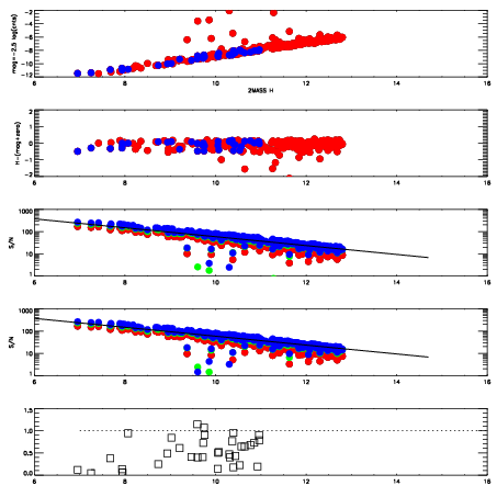
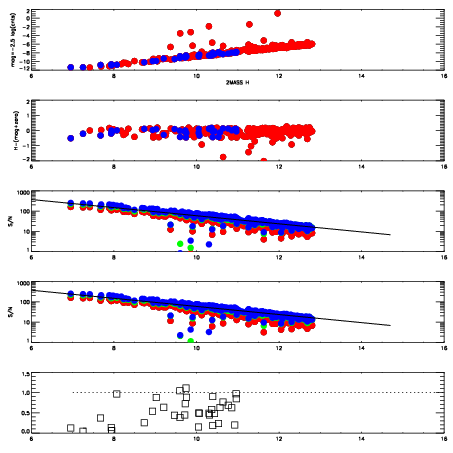
Frame | Nreads | Zeropoints | Mag plots
| Spatial mag deviation
| Spatial sky 16325A emission deviations (filled: sky, open: star)
| Spatial sky continuum emission
| Spatial sky telluric CO2 absorption deviations (filled: H < 10)
|
7890048
| 47
| | Red | Green | Blue
| z | | 18.35
| znorm | | 14.17
| sky | 15.6 | 15.0 | 14.7
| S/N | 9.2 | 16.8 | 16.8
| S/N(c) | 9.0 | 3.2 | 4.8
| SN(E/C) | 0.59
|
|
|
|
|
|
|
7890049
| 47
| | Red | Green | Blue
| z | | 18.38
| znorm | | 14.20
| sky | 15.1 | 14.8 | 15.2
| S/N | 9.0 | 16.8 | 16.9
| S/N(c) | 9.2 | 3.3 | 4.8
| SN(E/C) | 0.59
|
|
|
|
|
|
|
7890050
| 47
| | Red | Green | Blue
| z | | 18.64
| znorm | | 14.46
| sky | 15.4 | 15.1 | 15.0
| S/N | 10.9 | 19.7 | 20.1
| S/N(c) | 10.6 | 3.7 | 5.5
| SN(E/C) | 0.52
|
|
|
|
|
|
|
7890051
| 47
| | Red | Green | Blue
| z | | 18.83
| znorm | | 14.65
| sky | 15.2 | 15.1 | 14.9
| S/N | 12.3 | 21.5 | 21.7
| S/N(c) | 11.4 | 3.9 | 5.9
| SN(E/C) | 0.49
|
|
|
|
|
|
|
7890052
| 47
| | Red | Green | Blue
| z | | 18.87
| znorm | | 14.69
| sky | 15.3 | 15.0 | 15.0
| S/N | 12.8 | 22.3 | 23.0
| S/N(c) | 11.9 | 4.1 | 6.2
| SN(E/C) | 0.49
|
|
|
|
|
|
|
7890053
| 47
| | Red | Green | Blue
| z | | 18.90
| znorm | | 14.72
| sky | 15.1 | 15.0 | 15.0
| S/N | 13.1 | 22.5 | 23.1
| S/N(c) | 12.1 | 4.2 | 6.2
| SN(E/C) | 0.49
|
|
|
|
|
|
|
7890054
| 47
| | Red | Green | Blue
| z | | 18.89
| znorm | | 14.71
| sky | 15.3 | 15.0 | 14.9
| S/N | 13.0 | 22.5 | 23.1
| S/N(c) | 11.7 | 4.1 | 6.0
| SN(E/C) | 0.47
|
|
|
|
|
|
|
7890055
| 47
| | Red | Green | Blue
| z | | 18.80
| znorm | | 14.62
| sky | 15.2 | 15.3 | 15.0
| S/N | 12.3 | 21.8 | 22.1
| S/N(c) | 11.4 | 4.0 | 5.9
| SN(E/C) | 0.49
|
|
|
|
|
|
|