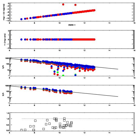
Left plots: red are targets, blue are telluric. Observed mags are calculated from median value of green chip. Zeropoint gives overall throughput: bigger number is more throughput.
First spatial plots: circles are objects, squares are tellurics, crosses are sky fibers. Colors give deviation of observed mag from expected 2MASS mag using the median zeropoint; red is brighter
Second spatial plots: circles are sky fibers. Colors give sky line brightness relative to plate median sky line brightness
FrameNreadsZeropointsMag plots Spatial mag deviation Spatial sky 16325A emission deviations (filled: sky, open: star) Spatial sky continuum emission Spatial sky telluric CO2 absorption deviations (filled: H < 10)
0 0
RedGreenBlue
z17.64
znorm Inf
sky -NaN -Inf -Inf
S/N 20.6 38.8 40.8
S/N(c) 0.0 0.0 0.0
SN(E/C) 0.44

IPAIRNAMESHIFTNEWSHIFTS/N NAMESHIFTNEWSHIFTS/N
0 07890049 0.472524 0.00000 18.3628 07890048 0.00000 0.472524 18.3332
1 07890053 0.472173 0.000350982 18.8684 07890052 -0.000572058 0.473096 18.8448
2 07890054 0.472317 0.000206977 18.8581 07890051 0.000357440 0.472167 18.7965
3 07890050 0.472204 0.000319988 18.6178 07890055 0.00251508 0.470009 18.7837