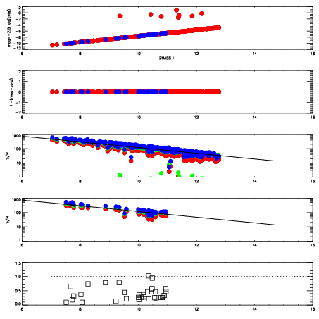
Left plots: red are targets, blue are telluric. Observed mags are calculated from median value of green chip. Zeropoint gives overall throughput: bigger number is more throughput.
First spatial plots: circles are objects, squares are tellurics, crosses are sky fibers. Colors give deviation of observed mag from expected 2MASS mag using the median zeropoint; red is brighter
Second spatial plots: circles are sky fibers. Colors give sky line brightness relative to plate median sky line brightness
FrameNreadsZeropointsMag plots Spatial mag deviation Spatial sky 16325A emission deviations (filled: sky, open: star) Spatial sky continuum emission Spatial sky telluric CO2 absorption deviations (filled: H < 10)
0 0
RedGreenBlue
z17.64
znorm Inf
sky -Inf -NaN -NaN
S/N 25.8 46.1 49.5
S/N(c) 0.0 0.0 0.0
SN(E/C) 0.33

IPAIRNAMESHIFTNEWSHIFTS/N NAMESHIFTNEWSHIFTS/N
0 11470028 0.479329 0.00000 19.0195 11470025 -0.00187329 0.481202 18.9681
1 11470027 0.477825 0.00150400 19.0239 11470029 0.000477785 0.478851 18.9873
2 11470024 0.476294 0.00303498 18.9939 11470026 -0.00213001 0.481459 18.9481
3 11470023 0.475303 0.00402600 18.9770 11470022 0.00000 0.479329 18.9366