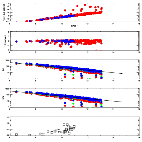
Frame | Nreads | Zeropoints | Mag plots
| Spatial mag deviation
| Spatial sky 16325A emission deviations (filled: sky, open: star)
| Spatial sky continuum emission
| Spatial sky telluric CO2 absorption deviations (filled: H < 10)
|
4870026
| 47
| | Red | Green | Blue
| z | | 18.99
| znorm | | 14.81
| sky | 14.8 | 14.6 | 14.5
| S/N | 15.1 | 24.9 | 26.7
| S/N(c) | 25.6 | 27.7 | 7.8
| SN(E/C) | 0.40
|
|
|
|
|
|
|
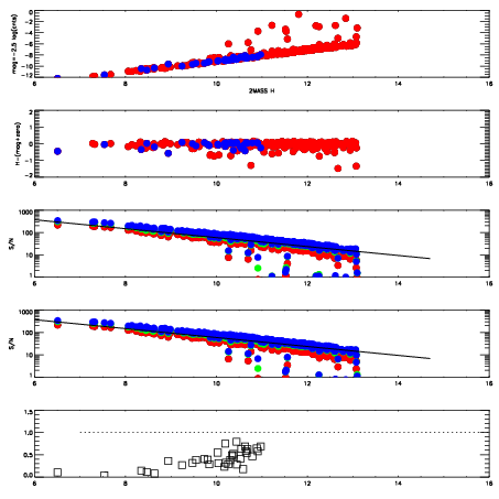
4870027
| 47
| | Red | Green | Blue
| z | | 19.04
| znorm | | 14.86
| sky | 14.8 | 14.6 | 14.9
| S/N | 15.4 | 25.5 | 26.3
| S/N(c) | 25.8 | 29.1 | 8.3
| SN(E/C) | 0.42
|
|
|
|
|
|
|
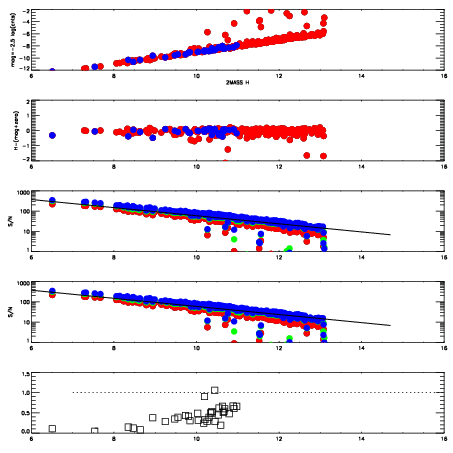
4870028
| 47
| | Red | Green | Blue
| z | | 19.10
| znorm | | 14.92
| sky | 14.7 | 14.6 | 14.8
| S/N | 15.7 | 26.2 | 27.2
| S/N(c) | 26.9 | 30.0 | 8.5
| SN(E/C) | 0.41
|
|
|
|
|
|
|
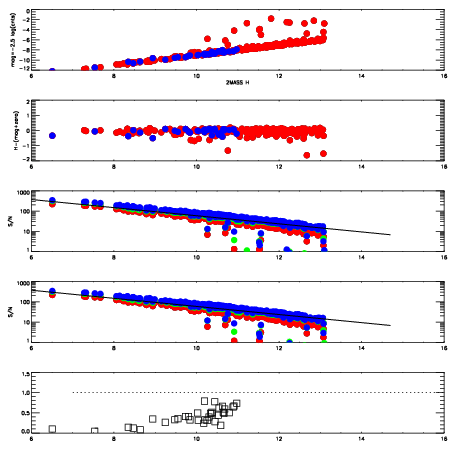
4870029
| 47
| | Red | Green | Blue
| z | | 19.06
| znorm | | 14.88
| sky | 14.8 | 14.7 | 14.9
| S/N | 16.1 | 26.2 | 27.4
| S/N(c) | 26.2 | 29.3 | 8.3
| SN(E/C) | 0.41
|
|
|
|
|
|
|
4870030
| 47
| | Red | Green | Blue
| z | | 19.03
| znorm | | 14.85
| sky | 14.7 | 14.7 | 15.0
| S/N | 15.2 | 25.9 | 27.3
| S/N(c) | 25.8 | 28.6 | 8.1
| SN(E/C) | 0.40
|
|
|
|
|
|
|
4870031
| 47
| | Red | Green | Blue
| z | | 19.07
| znorm | | 14.89
| sky | 14.9 | 14.6 | 15.0
| S/N | 15.7 | 26.0 | 27.7
| S/N(c) | 26.3 | 29.5 | 8.4
| SN(E/C) | 0.41
|
|
|
|
|
|
|
4870032
| 47
| | Red | Green | Blue
| z | | 19.11
| znorm | | 14.93
| sky | 14.8 | 14.8 | 14.9
| S/N | 16.4 | 27.1 | 28.7
| S/N(c) | 27.1 | 29.8 | 8.5
| SN(E/C) | 0.40
|
|
|
|
|
|
|
4870033
| 47
| | Red | Green | Blue
| z | | 19.14
| znorm | | 14.96
| sky | 14.7 | 14.9 | 14.9
| S/N | 16.6 | 27.6 | 29.6
| S/N(c) | 27.4 | 30.2 | 8.6
| SN(E/C) | 0.39
|
|
|
|
|
|
|