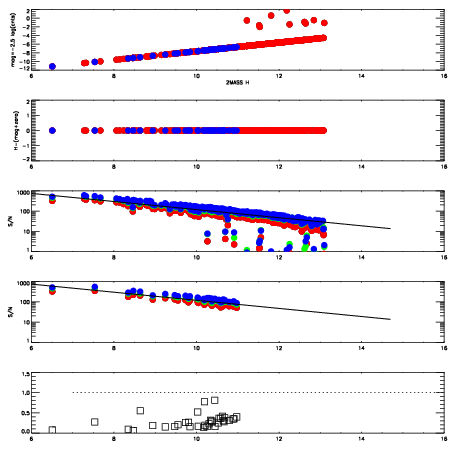
Left plots: red are targets, blue are telluric. Observed mags are calculated from median value of green chip. Zeropoint gives overall throughput: bigger number is more throughput.
First spatial plots: circles are objects, squares are tellurics, crosses are sky fibers. Colors give deviation of observed mag from expected 2MASS mag using the median zeropoint; red is brighter
Second spatial plots: circles are sky fibers. Colors give sky line brightness relative to plate median sky line brightness
FrameNreadsZeropointsMag plots Spatial mag deviation Spatial sky 16325A emission deviations (filled: sky, open: star) Spatial sky continuum emission Spatial sky telluric CO2 absorption deviations (filled: H < 10)
0 0
RedGreenBlue
z17.64
znorm Inf
sky -NaN -NaN -Inf
S/N 28.6 50.1 52.9
S/N(c) 0.0 0.0 0.0
SN(E/C) 0.27

IPAIRNAMESHIFTNEWSHIFTS/N NAMESHIFTNEWSHIFTS/N
0 11940038 0.498591 0.00000 19.0961 11940041 -0.00467846 0.503269 19.0761
1 11940043 0.496000 0.00259101 19.1398 11940044 -0.00535916 0.503950 19.1207
2 11940042 0.495905 0.00268599 19.0993 11940037 0.00000 0.498591 19.0818
3 11940039 0.498192 0.000398993 19.0919 11940040 -0.00352096 0.502112 19.0756