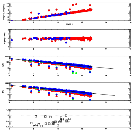
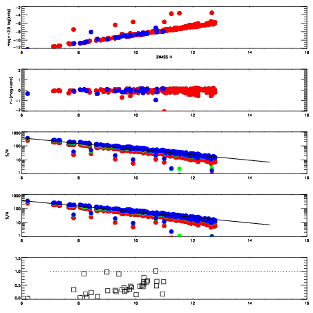
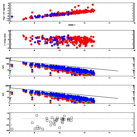
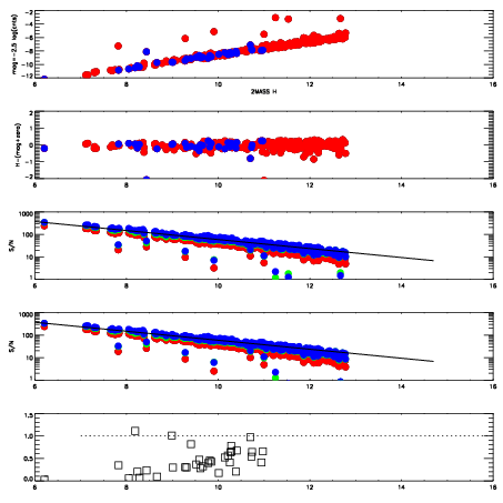
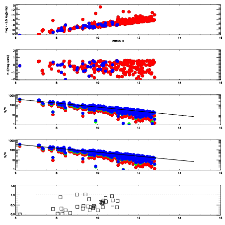
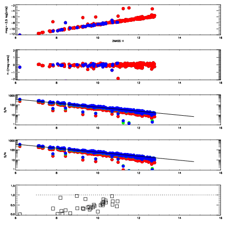
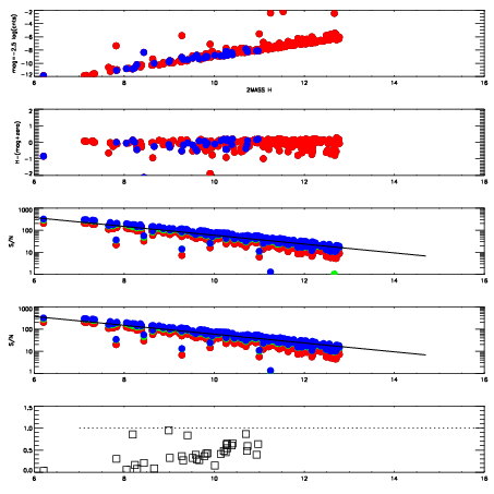
Frame | Nreads | Zeropoints | Mag plots
| Spatial mag deviation
| Spatial sky 16325A emission deviations (filled: sky, open: star)
| Spatial sky continuum emission
| Spatial sky telluric CO2 absorption deviations (filled: H < 10)
|
11980011
| 47
| | Red | Green | Blue
| z | | 18.59
| znorm | | 14.41
| sky | 14.8 | 14.5 | 14.4
| S/N | 11.7 | 18.9 | 19.3
| S/N(c) | 22.8 | 7.3 | 7.2
| SN(E/C) | 0.44
|
|
|
|
|
|
|
11980012
| 47
| | Red | Green | Blue
| z | | 18.76
| znorm | | 14.58
| sky | 14.8 | 14.9 | 14.7
| S/N | 12.5 | 21.1 | 21.8
| S/N(c) | 24.6 | 7.7 | 7.7
| SN(E/C) | 0.42
|
|
|
|
|
|
|
11980013
| 47
| | Red | Green | Blue
| z | | 18.74
| znorm | | 14.56
| sky | 14.8 | 14.8 | 14.8
| S/N | 12.3 | 20.7 | 21.2
| S/N(c) | 24.6 | 7.7 | 7.7
| SN(E/C) | 0.41
|
|
|
|
|
|
|
11980014
| 47
| | Red | Green | Blue
| z | | 18.62
| znorm | | 14.44
| sky | 14.9 | 14.7 | 14.8
| S/N | 11.3 | 18.6 | 19.5
| S/N(c) | 22.3 | 7.2 | 7.0
| SN(E/C) | 0.41
|
|
|
|
|
|
|
11980015
| 47
| | Red | Green | Blue
| z | | 18.49
| znorm | | 14.31
| sky | 15.0 | 14.9 | 14.7
| S/N | 7.1 | 14.5 | 14.6
| S/N(c) | 19.2 | 6.6 | 6.4
| SN(E/C) | 0.45
|
|
|
|
|
|
|
11980016
| 47
| | Red | Green | Blue
| z | | 16.89
| znorm | | 12.71
| sky | 15.3 | 15.3 | 15.4
| S/N | 2.7 | 6.4 | 5.6
| S/N(c) | 6.4 | 2.7 | 2.7
| SN(E/C) | 0.84
|
|
|
|
|
|
|
11980017
| 47
| | Red | Green | Blue
| z | | 18.46
| znorm | | 14.28
| sky | 14.7 | 14.9 | 14.9
| S/N | 7.6 | 14.9 | 15.5
| S/N(c) | 19.7 | 6.6 | 6.5
| SN(E/C) | 0.51
|
|
|
|
|
|
|
11980018
| 47
| | Red | Green | Blue
| z | | 18.90
| znorm | | 14.72
| sky | 14.8 | 14.8 | 14.6
| S/N | 12.9 | 21.7 | 22.2
| S/N(c) | 26.2 | 8.2 | 8.1
| SN(E/C) | 0.40
|
|
|
|
|
|
|