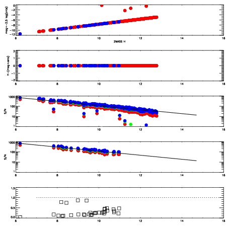
Left plots: red are targets, blue are telluric. Observed mags are calculated from median value of green chip. Zeropoint gives overall throughput: bigger number is more throughput.
First spatial plots: circles are objects, squares are tellurics, crosses are sky fibers. Colors give deviation of observed mag from expected 2MASS mag using the median zeropoint; red is brighter
Second spatial plots: circles are sky fibers. Colors give sky line brightness relative to plate median sky line brightness
FrameNreadsZeropointsMag plots Spatial mag deviation Spatial sky 16325A emission deviations (filled: sky, open: star) Spatial sky continuum emission Spatial sky telluric CO2 absorption deviations (filled: H < 10)
0 0
RedGreenBlue
z17.64
znorm Inf
sky -Inf -Inf -NaN
S/N 21.8 40.2 42.1
S/N(c) 0.0 0.0 0.0
SN(E/C) 0.25

IPAIRNAMESHIFTNEWSHIFTS/N NAMESHIFTNEWSHIFTS/N
0 12230016 0.495391 0.00000 18.8289 12230014 -0.00313466 0.498526 18.8824
1 12230017 0.495312 7.90060e-05 18.9352 12230015 -0.00305394 0.498445 18.8894
2 12230013 0.493615 0.00177601 18.7804 12230018 -0.00362174 0.499013 18.7502
3 12230012 0.493728 0.00166300 18.7617 12230011 0.00000 0.495391 18.7197